mp-771978/Ga2HgO4/anharm

Harmonic properties

../../_images/fig_bandos_pr2516.png

(a) Phonon dispersion with participation ratio and DOS

../../_images/fig_thermo2516.png

(b) Thermodynamic properties

Grüneisen parameters

../../_images/fig_gru_all1298.png

(a) Grüneisen parameters

../../_images/fig_gruneisen1298.png

(b) Phonon dispersion with Grüneisen parameters

Thermal conductivity

3-phonon (LASSO) — q-mesh: 7x24x6, supercell: 1x4x1

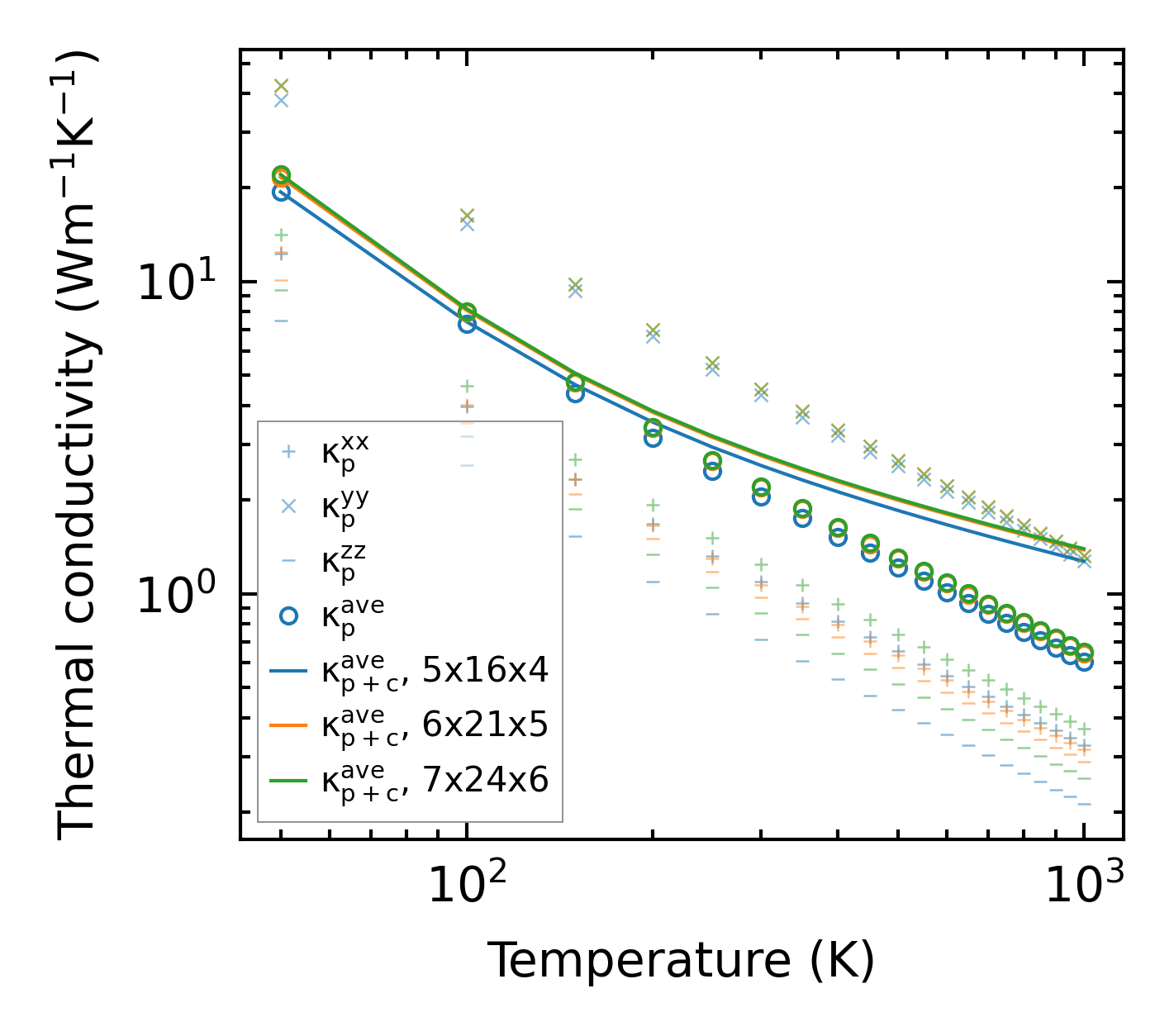
../../_images/fig_kappa2497.png

(a) Temperature-dependent lattice thermal conductivity

../../_images/fig_kappa_vs_grain_size1314.png

(b) Peierls lattice thermal conductivity w.r.t grain size

Phonon lifetime and scattering rates

../../_images/fig_lifetime1288.png

(a) Phonon lifetime due to phonon-phonon scattering

../../_images/fig_scat_rates1287.png

(b) Phonon scattering rates

Cumulative and spectral thermal conductivity

../../_images/fig_cumu_frequency1288.png

(a) Spectral and cumulative thermal conductivity w.r.t frequency

../../_images/fig_cumu_mfp1288.png

(b) Spectral and cumulative thermal conductivity w.r.t MFP

Force constants

../../_images/fig_fc22337.png

(a) Force constants w.r.t atomic distance

Summary

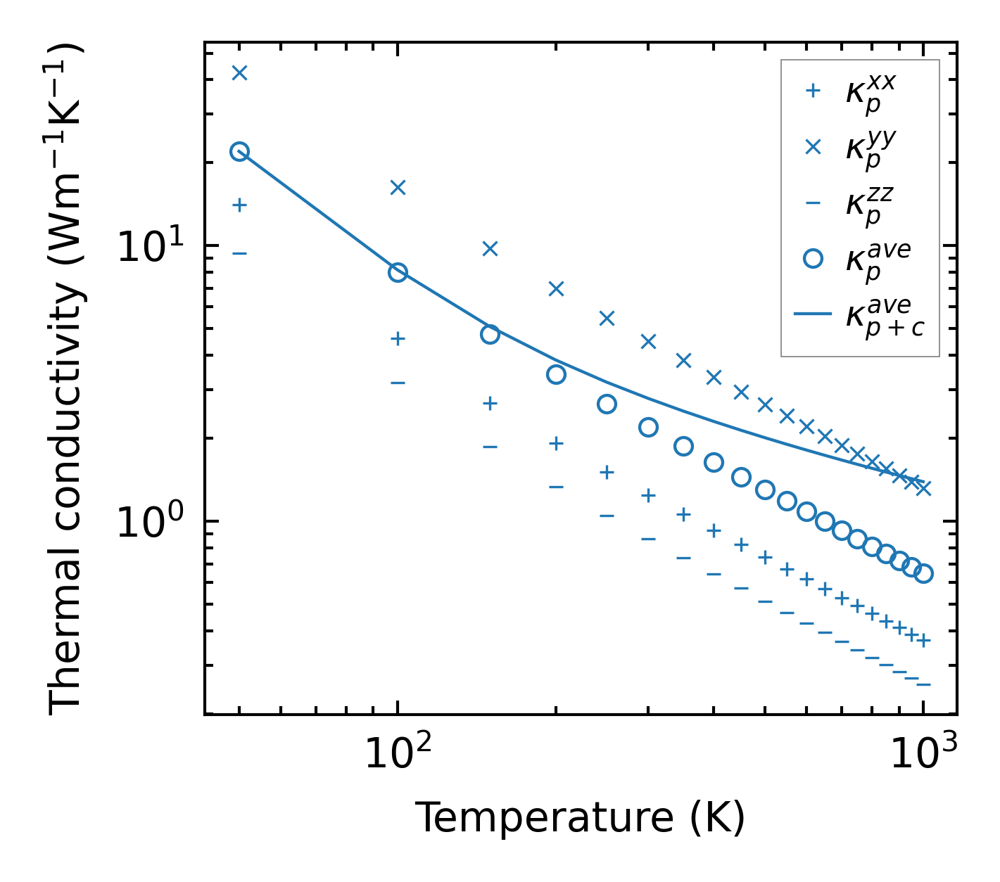
../../_images/fig_kappa2498.png

(a) Temperature-dependent lattice thermal conductivity

../../_images/fig_times4174.png

(b) Computation time