mp-771336/Na3MgPCO7/harm

Harmonic properties

../../_images/fig_bandos_pr2491.png

(a) Phonon dispersion with participation ratio and DOS

../../_images/fig_bandos2975.png

(b) Phonon dispersion and DOS

../../_images/fig_thermo2491.png

(c) Thermodynamic properties

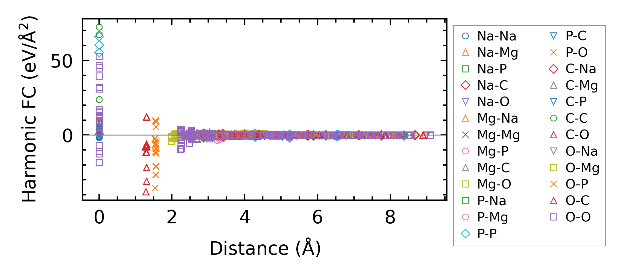
Force constants

../../_images/fig_fc22312.png

(a) Force constants w.r.t atomic distance

Summary

../../_images/fig_times4129.png

(a) Computation time