mp-771046/MgN2O6/anharm

Harmonic properties

../../_images/fig_bandos_pr2478.png

(a) Phonon dispersion with participation ratio and DOS

../../_images/fig_thermo2478.png

(b) Thermodynamic properties

Grüneisen parameters

../../_images/fig_gru_all1291.png

(a) Grüneisen parameters

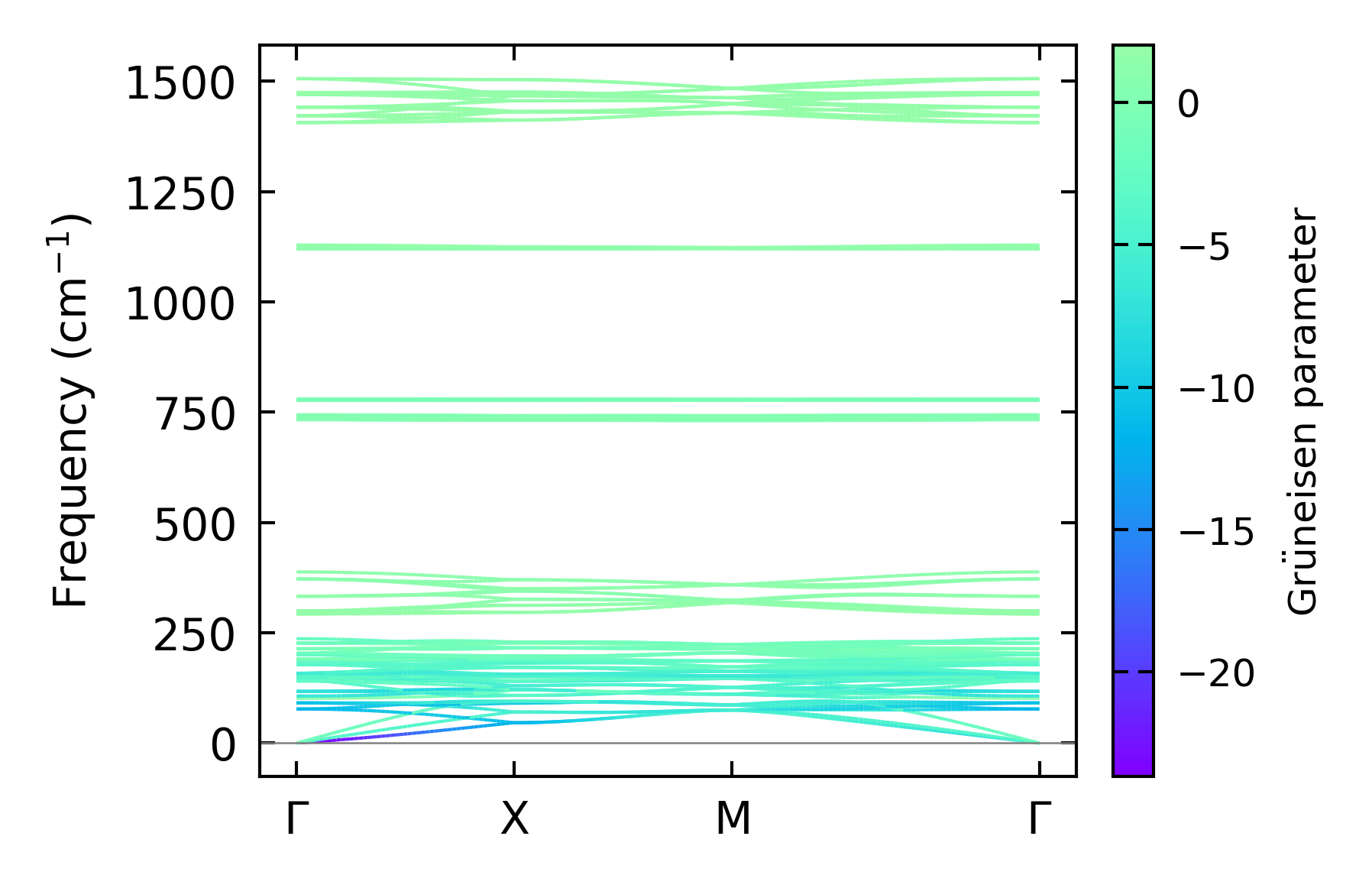
../../_images/fig_gruneisen1291.png

(b) Phonon dispersion with Grüneisen parameters

Thermal conductivity

3-phonon (LASSO) — q-mesh: 9x9x9, supercell: 1x1x1

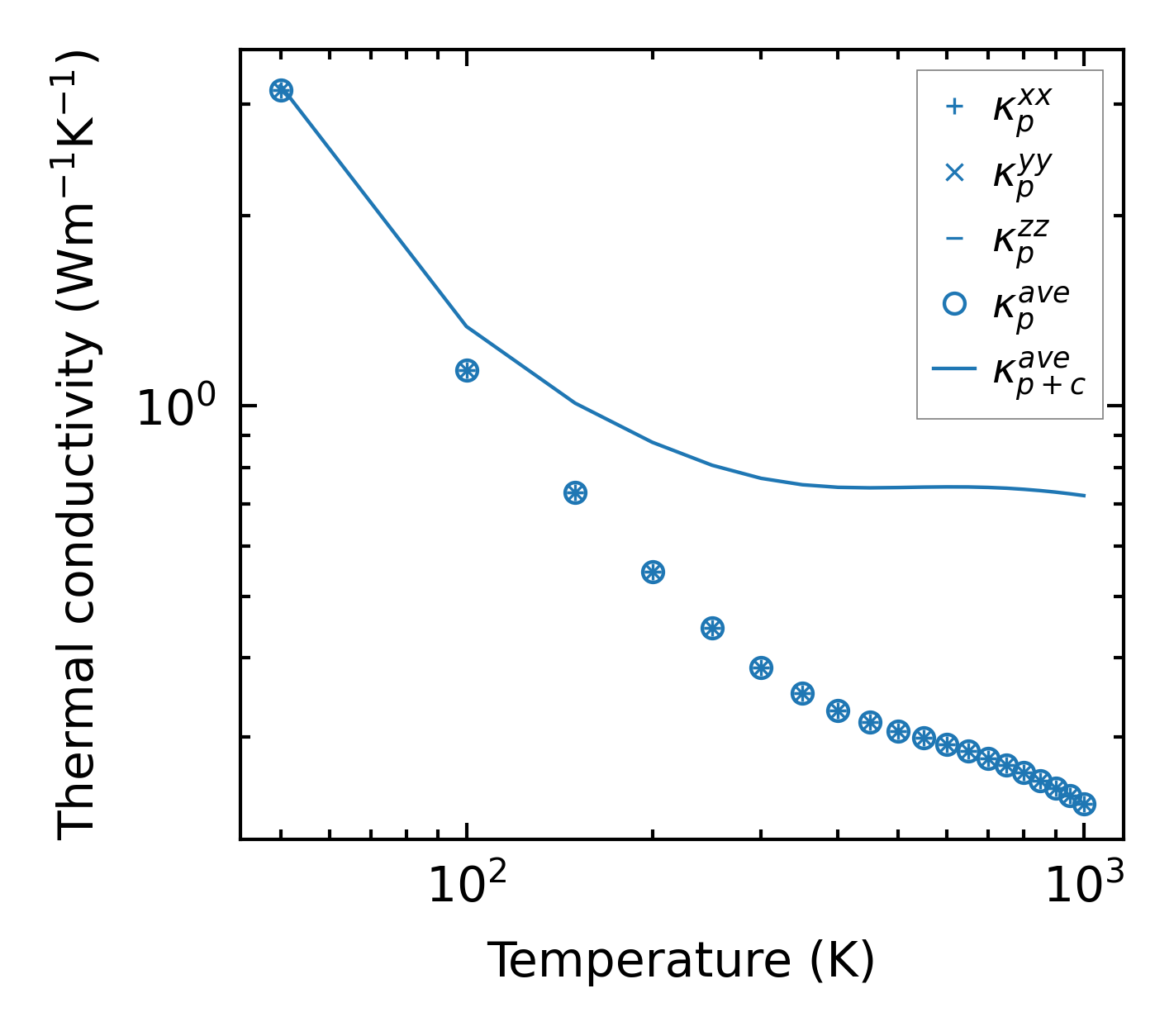
../../_images/fig_kappa2483.png

(a) Temperature-dependent lattice thermal conductivity

../../_images/fig_kappa_vs_grain_size1307.png

(b) Peierls lattice thermal conductivity w.r.t grain size

Phonon lifetime and scattering rates

../../_images/fig_lifetime1281.png

(a) Phonon lifetime due to phonon-phonon scattering

../../_images/fig_scat_rates1280.png

(b) Phonon scattering rates

Cumulative and spectral thermal conductivity

../../_images/fig_cumu_frequency1281.png

(a) Spectral and cumulative thermal conductivity w.r.t frequency

../../_images/fig_cumu_mfp1281.png

(b) Spectral and cumulative thermal conductivity w.r.t MFP

Force constants

../../_images/fig_fc22299.png

(a) Force constants w.r.t atomic distance

Summary

../../_images/fig_kappa2484.png

(a) Temperature-dependent lattice thermal conductivity

../../_images/fig_times4092.png

(b) Computation time