mp-771645/Sr2CaI6/anharm

Harmonic properties

../../_images/fig_bandos_pr2496.png

(a) Phonon dispersion with participation ratio and DOS

../../_images/fig_thermo2496.png

(b) Thermodynamic properties

Grüneisen parameters

../../_images/fig_gru_all1294.png

(a) Grüneisen parameters

../../_images/fig_gruneisen1294.png

(b) Phonon dispersion with Grüneisen parameters

Thermal conductivity

3-phonon (LASSO) — q-mesh: 3x8x8, supercell: 1x2x2

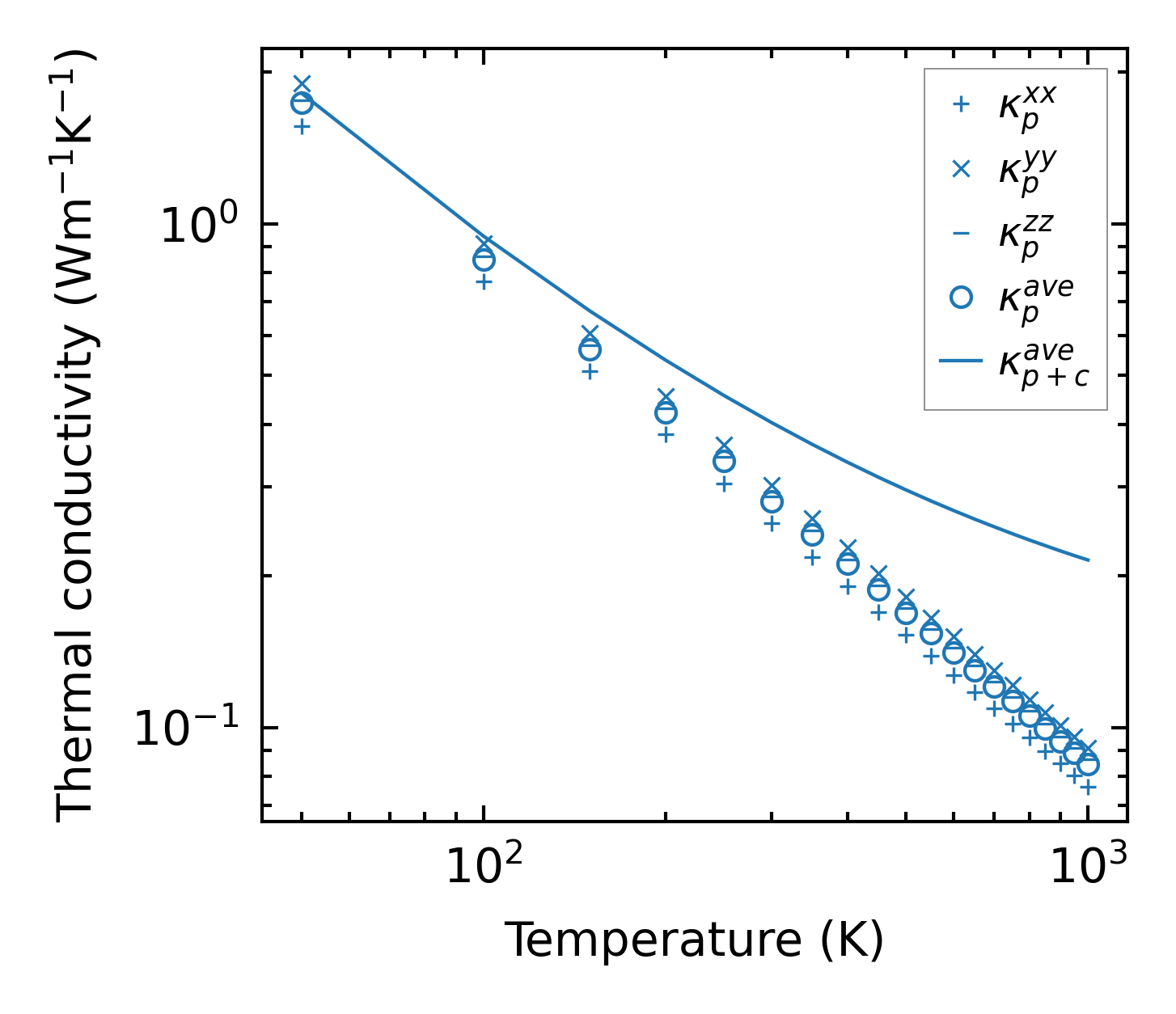
../../_images/fig_kappa2489.png

(a) Temperature-dependent lattice thermal conductivity

../../_images/fig_kappa_vs_grain_size1310.png

(b) Peierls lattice thermal conductivity w.r.t grain size

Phonon lifetime and scattering rates

../../_images/fig_lifetime1284.png

(a) Phonon lifetime due to phonon-phonon scattering

../../_images/fig_scat_rates1283.png

(b) Phonon scattering rates

Cumulative and spectral thermal conductivity

../../_images/fig_cumu_frequency1284.png

(a) Spectral and cumulative thermal conductivity w.r.t frequency

../../_images/fig_cumu_mfp1284.png

(b) Spectral and cumulative thermal conductivity w.r.t MFP

Force constants

../../_images/fig_fc22317.png

(a) Force constants w.r.t atomic distance

Summary

../../_images/fig_kappa2490.png

(a) Temperature-dependent lattice thermal conductivity

../../_images/fig_times4137.png

(b) Computation time