mp-771957/Ta2PbO6/anharm

Harmonic properties

../../_images/fig_bandos_pr2512.png

(a) Phonon dispersion with participation ratio and DOS

../../_images/fig_thermo2512.png

(b) Thermodynamic properties

Grüneisen parameters

../../_images/fig_gru_all1296.png

(a) Grüneisen parameters

../../_images/fig_gruneisen1296.png

(b) Phonon dispersion with Grüneisen parameters

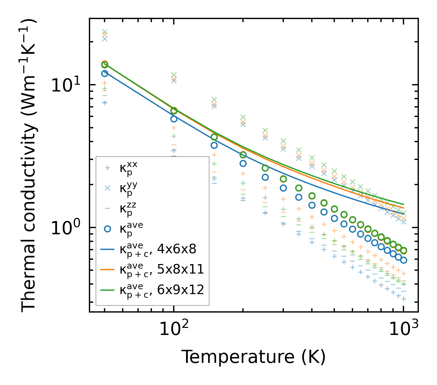
Thermal conductivity

3-phonon (LASSO) — q-mesh: 6x9x12, supercell: 1x2x2

../../_images/fig_kappa2493.png

(a) Temperature-dependent lattice thermal conductivity

../../_images/fig_kappa_vs_grain_size1312.png

(b) Peierls lattice thermal conductivity w.r.t grain size

Phonon lifetime and scattering rates

../../_images/fig_lifetime1286.png

(a) Phonon lifetime due to phonon-phonon scattering

../../_images/fig_scat_rates1285.png

(b) Phonon scattering rates

Cumulative and spectral thermal conductivity

../../_images/fig_cumu_frequency1286.png

(a) Spectral and cumulative thermal conductivity w.r.t frequency

../../_images/fig_cumu_mfp1286.png

(b) Spectral and cumulative thermal conductivity w.r.t MFP

Force constants

../../_images/fig_fc22333.png

(a) Force constants w.r.t atomic distance

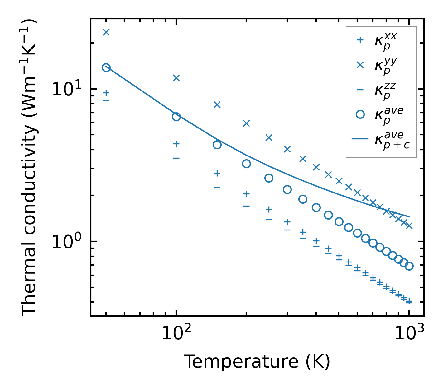
Summary

../../_images/fig_kappa2494.png

(a) Temperature-dependent lattice thermal conductivity

../../_images/fig_times4167.png

(b) Computation time