mp-771308/VCoO4/anharm

Harmonic properties

../../_images/fig_bandos_pr2488.png

(a) Phonon dispersion with participation ratio and DOS

../../_images/fig_thermo2488.png

(b) Thermodynamic properties

Grüneisen parameters

../../_images/fig_gru_all1293.png

(a) Grüneisen parameters

../../_images/fig_gruneisen1293.png

(b) Phonon dispersion with Grüneisen parameters

Thermal conductivity

3-phonon (LASSO) — q-mesh: 7x13x16, supercell: 1x2x3

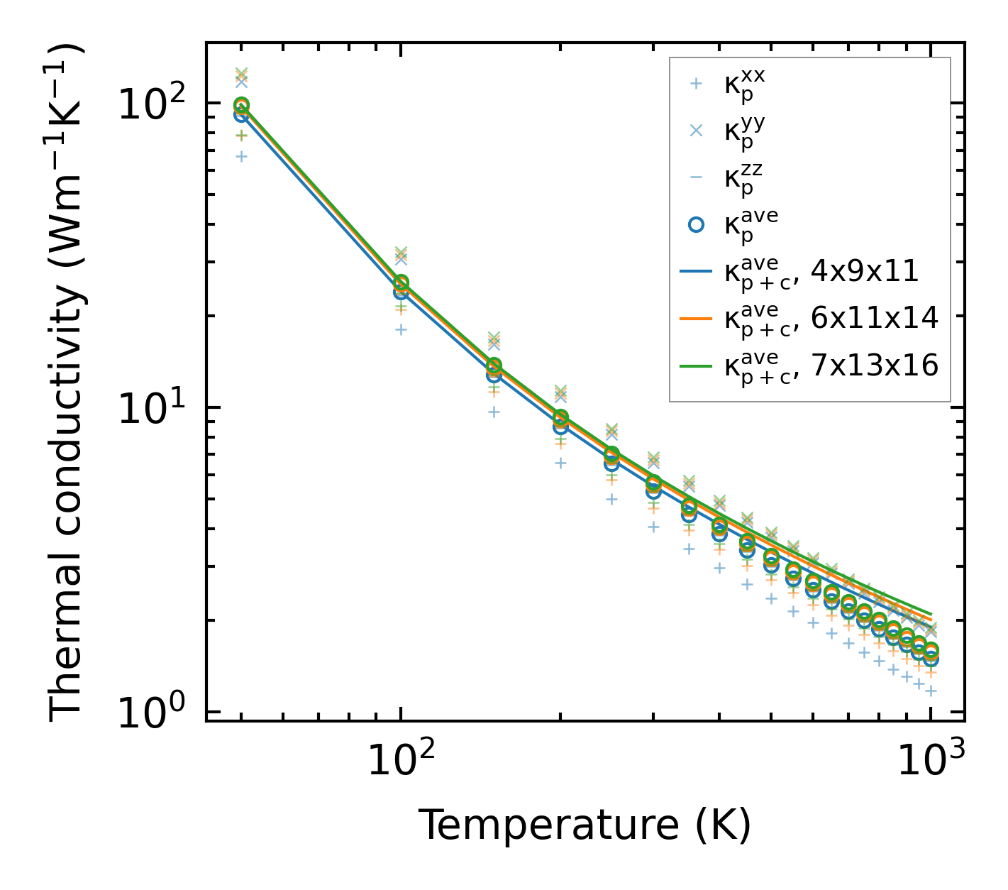
../../_images/fig_kappa2487.png

(a) Temperature-dependent lattice thermal conductivity

../../_images/fig_kappa_vs_grain_size1309.png

(b) Peierls lattice thermal conductivity w.r.t grain size

Phonon lifetime and scattering rates

../../_images/fig_lifetime1283.png

(a) Phonon lifetime due to phonon-phonon scattering

../../_images/fig_scat_rates1282.png

(b) Phonon scattering rates

Cumulative and spectral thermal conductivity

../../_images/fig_cumu_frequency1283.png

(a) Spectral and cumulative thermal conductivity w.r.t frequency

../../_images/fig_cumu_mfp1283.png

(b) Spectral and cumulative thermal conductivity w.r.t MFP

Force constants

../../_images/fig_fc22309.png

(a) Force constants w.r.t atomic distance

Summary

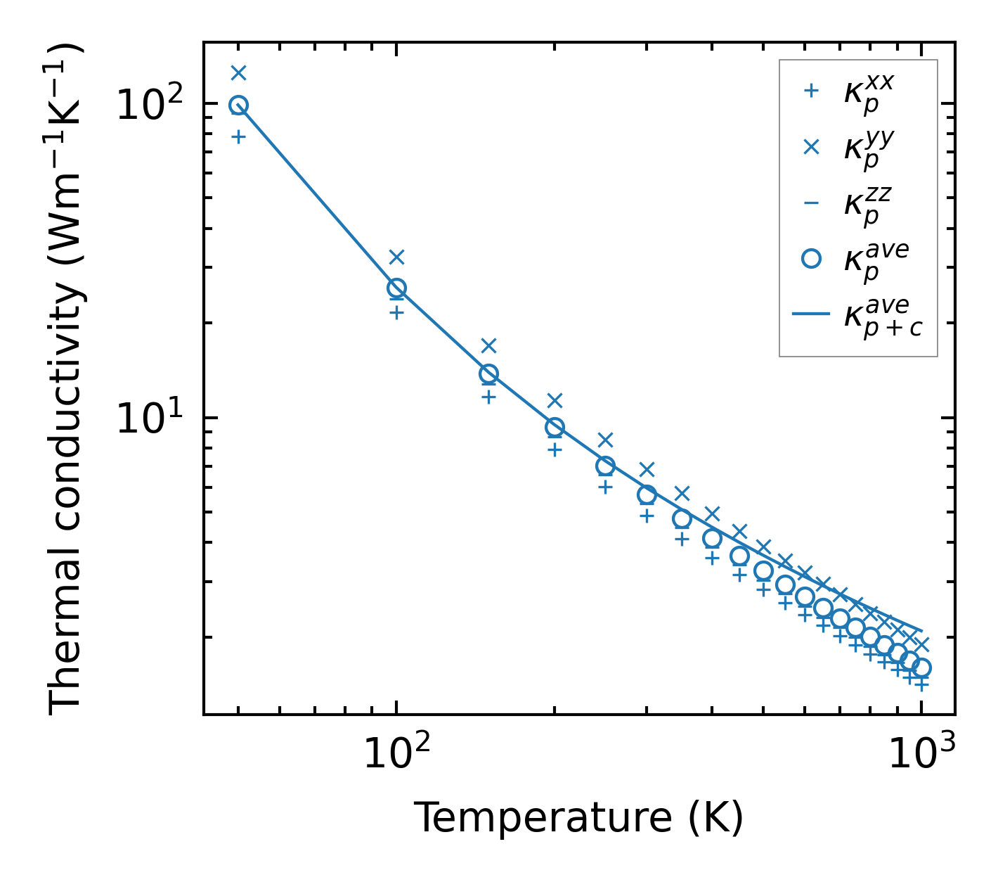
../../_images/fig_kappa2488.png

(a) Temperature-dependent lattice thermal conductivity

../../_images/fig_times4125.png

(b) Computation time