mp-771031/Lu2TiO5/anharm

Harmonic properties

../../_images/fig_bandos_pr2475.png

(a) Phonon dispersion with participation ratio and DOS

../../_images/fig_thermo2475.png

(b) Thermodynamic properties

Grüneisen parameters

../../_images/fig_gru_all1290.png

(a) Grüneisen parameters

../../_images/fig_gruneisen1290.png

(b) Phonon dispersion with Grüneisen parameters

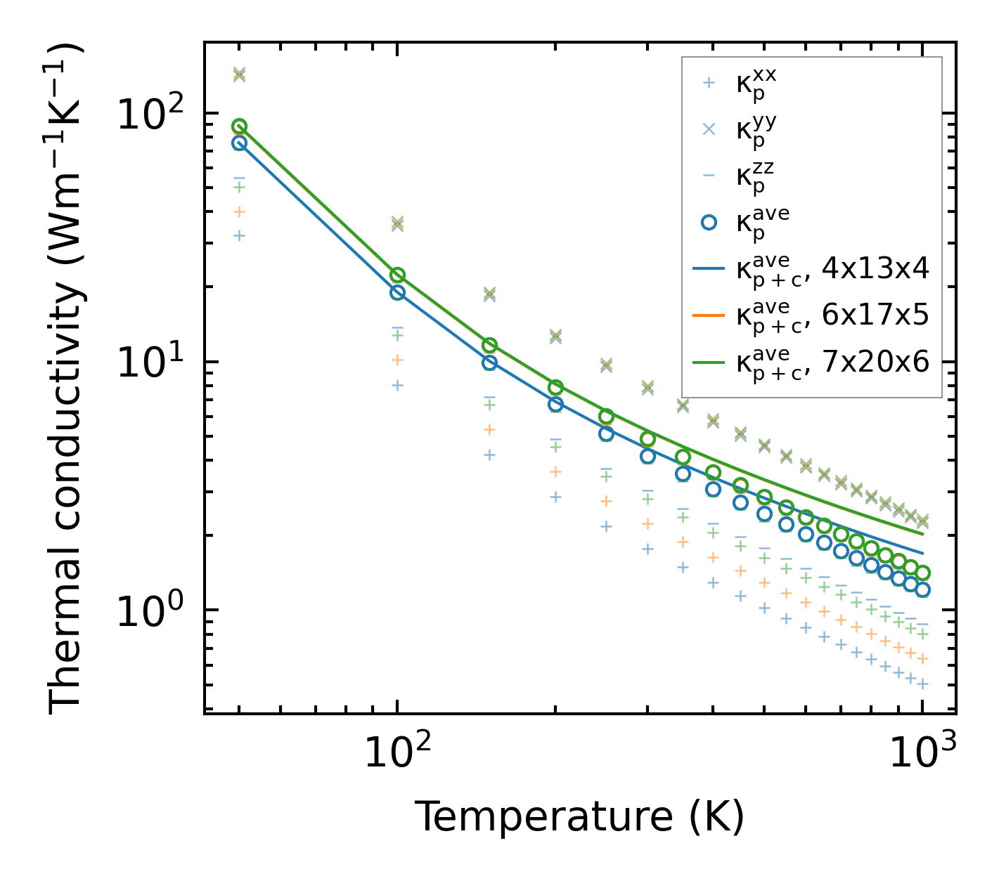
Thermal conductivity

3-phonon (LASSO) — q-mesh: 7x20x6, supercell: 1x3x1

../../_images/fig_kappa2481.png

(a) Temperature-dependent lattice thermal conductivity

../../_images/fig_kappa_vs_grain_size1306.png

(b) Peierls lattice thermal conductivity w.r.t grain size

Phonon lifetime and scattering rates

../../_images/fig_lifetime1280.png

(a) Phonon lifetime due to phonon-phonon scattering

../../_images/fig_scat_rates1279.png

(b) Phonon scattering rates

Cumulative and spectral thermal conductivity

../../_images/fig_cumu_frequency1280.png

(a) Spectral and cumulative thermal conductivity w.r.t frequency

../../_images/fig_cumu_mfp1280.png

(b) Spectral and cumulative thermal conductivity w.r.t MFP

Force constants

../../_images/fig_fc22296.png

(a) Force constants w.r.t atomic distance

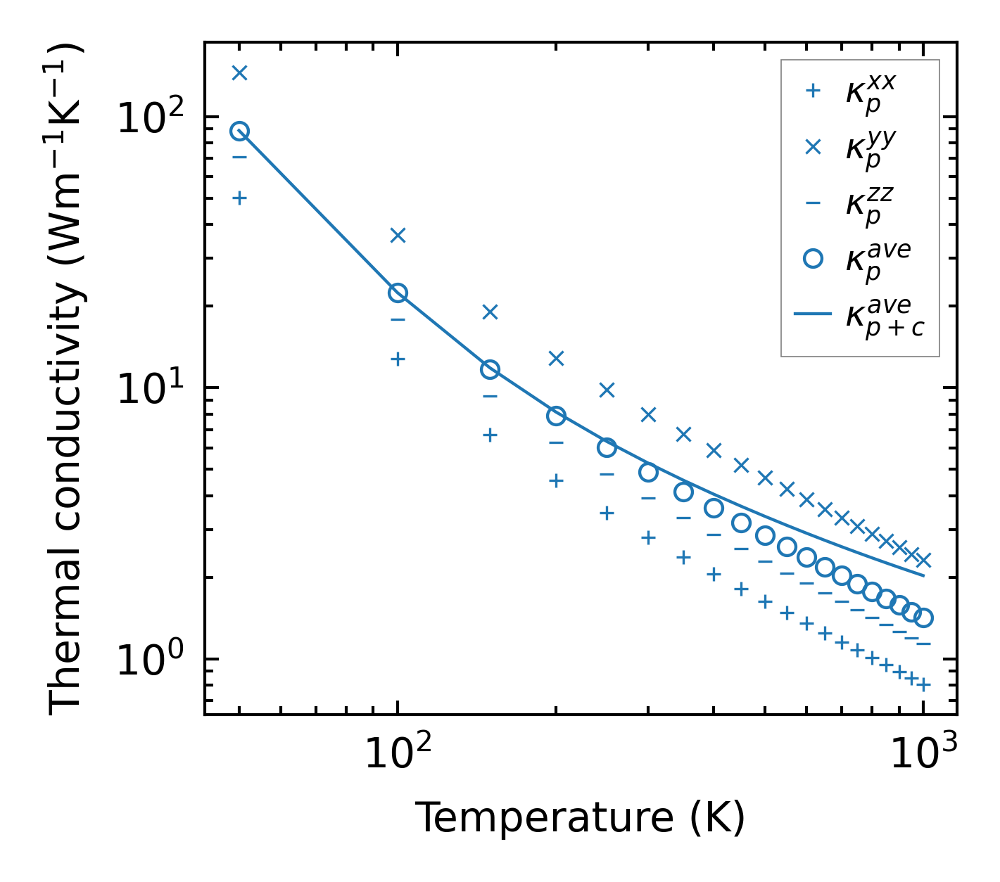
Summary

../../_images/fig_kappa2482.png

(a) Temperature-dependent lattice thermal conductivity

../../_images/fig_times4088.png

(b) Computation time