mp-771977/TmAsO4/anharm

Harmonic properties

../../_images/fig_bandos_pr2515.png

(a) Phonon dispersion with participation ratio and DOS

../../_images/fig_thermo2515.png

(b) Thermodynamic properties

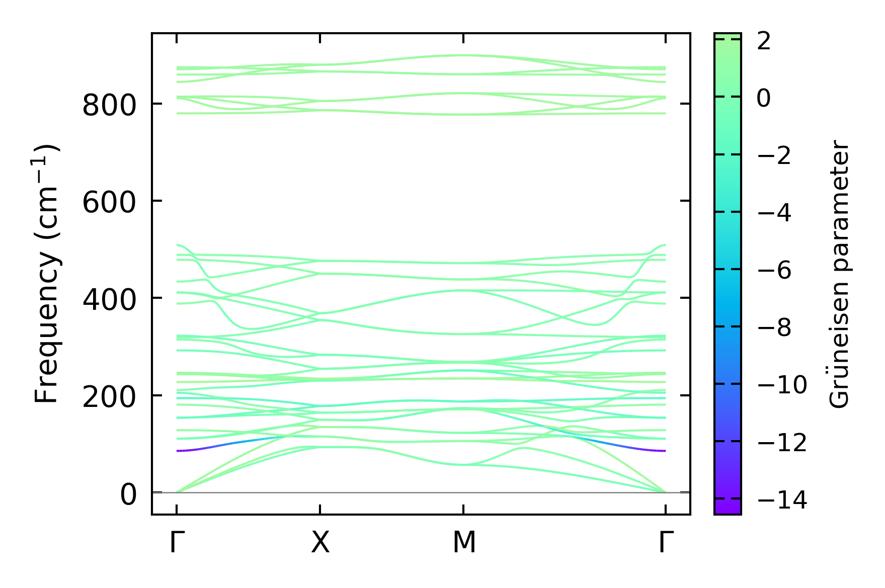
Grüneisen parameters

../../_images/fig_gru_all1297.png

(a) Grüneisen parameters

../../_images/fig_gruneisen1297.png

(b) Phonon dispersion with Grüneisen parameters

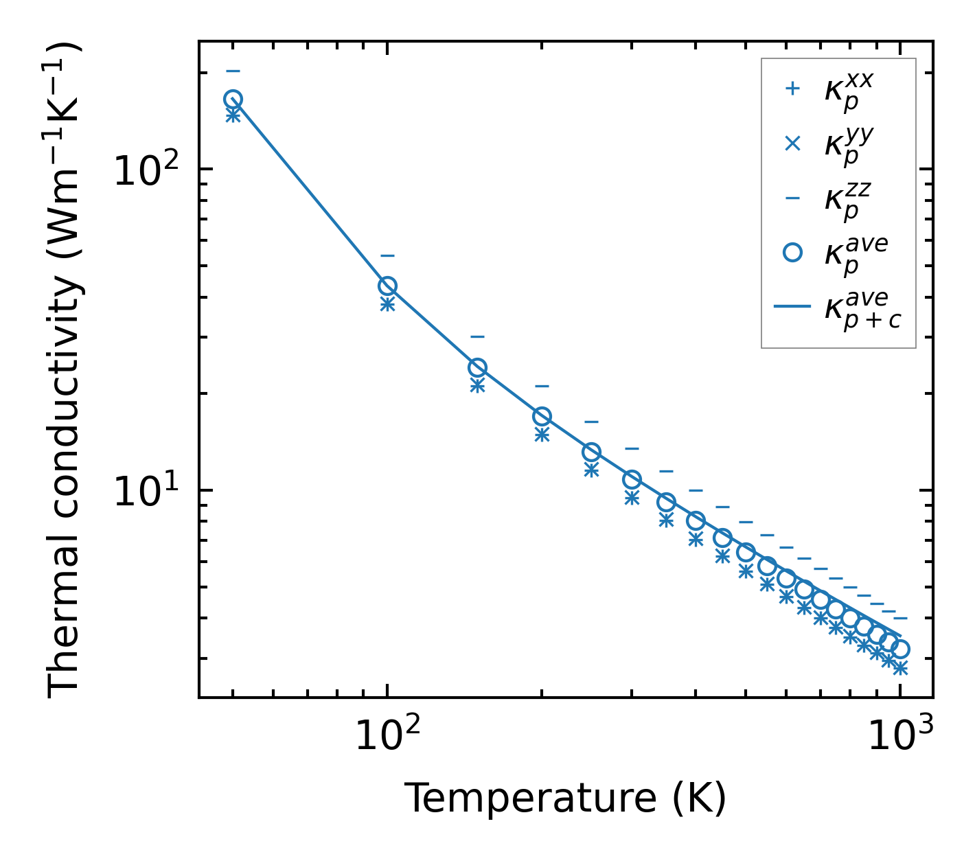
Thermal conductivity

3-phonon (LASSO) — q-mesh: 13x13x13, supercell: 1x1x2

../../_images/fig_kappa2495.png

(a) Temperature-dependent lattice thermal conductivity

../../_images/fig_kappa_vs_grain_size1313.png

(b) Peierls lattice thermal conductivity w.r.t grain size

Phonon lifetime and scattering rates

../../_images/fig_lifetime1287.png

(a) Phonon lifetime due to phonon-phonon scattering

../../_images/fig_scat_rates1286.png

(b) Phonon scattering rates

Cumulative and spectral thermal conductivity

../../_images/fig_cumu_frequency1287.png

(a) Spectral and cumulative thermal conductivity w.r.t frequency

../../_images/fig_cumu_mfp1287.png

(b) Spectral and cumulative thermal conductivity w.r.t MFP

Force constants

../../_images/fig_fc22336.png

(a) Force constants w.r.t atomic distance

Summary

../../_images/fig_kappa2496.png

(a) Temperature-dependent lattice thermal conductivity

../../_images/fig_times4173.png

(b) Computation time