mp-707874-2/Ba7Cu3H17/anharm

Equation of state

../../_images/fig_bm2155.png

(a) Equation of state

Harmonic properties

../../_images/fig_bandos_pr4277.png

(a) Phonon dispersion with participation ratio and DOS

../../_images/fig_bandos5957.png

(b) Phonon dispersion and DOS

../../_images/fig_thermo4277.png

(c) Thermodynamic properties

Grüneisen parameters

../../_images/fig_gru_all1848.png

(a) Grüneisen parameters

../../_images/fig_gruneisen1848.png

(b) Phonon dispersion with Grüneisen parameters

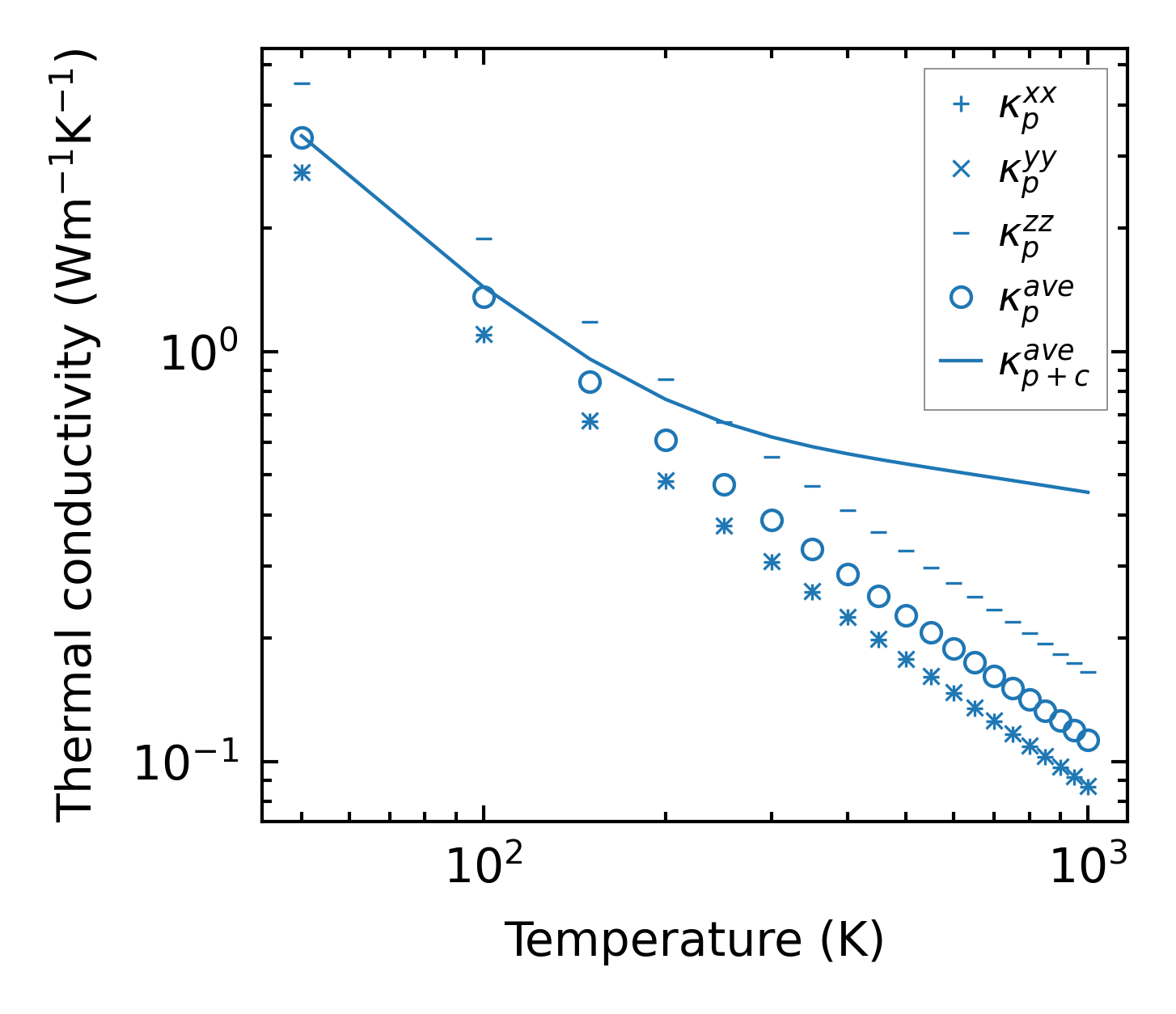
Thermal conductivity

3-phonon (LASSO), supercell 2x2x2 — q-mesh: 6x6x10, supercell: 2x2x2

../../_images/fig_kappa3542.png

(a) Temperature-dependent lattice thermal conductivity

../../_images/fig_kappa_vs_grain_size1876.png

(b) Peierls lattice thermal conductivity w.r.t grain size

Phonon lifetime and scattering rates

../../_images/fig_lifetime1838.png

(a) Phonon lifetime due to phonon-phonon scattering

../../_images/fig_scat_rates1837.png

(b) Phonon scattering rates

Cumulative and spectral thermal conductivity

../../_images/fig_cumu_frequency1838.png

(a) Spectral and cumulative thermal conductivity w.r.t frequency

../../_images/fig_cumu_mfp1838.png

(b) Spectral and cumulative thermal conductivity w.r.t MFP

Force constants

../../_images/fig_fc24090.png

(a) Force constants w.r.t atomic distance

Summary

../../_images/fig_times7594.png

(a) Computation time