mp-707218/Ba3AlHO4/anharm

Harmonic properties

../../_images/fig_bandos_pr4240.png

(a) Phonon dispersion with participation ratio and DOS

../../_images/fig_thermo4240.png

(b) Thermodynamic properties

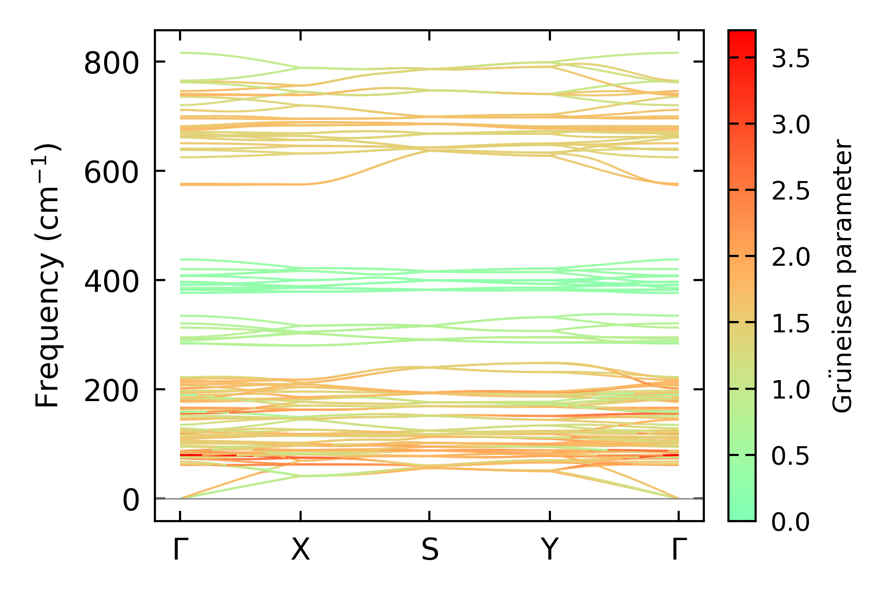
Grüneisen parameters

../../_images/fig_gru_all1839.png

(a) Grüneisen parameters

../../_images/fig_gruneisen1839.png

(b) Phonon dispersion with Grüneisen parameters

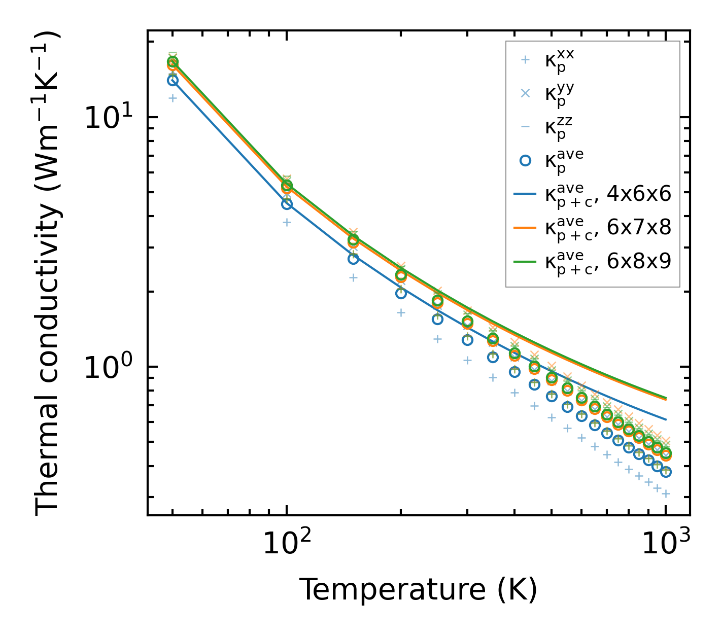
Thermal conductivity

3-phonon (LASSO) — q-mesh: 6x8x9, supercell: 1x2x2

../../_images/fig_kappa3526.png

(a) Temperature-dependent lattice thermal conductivity

../../_images/fig_kappa_vs_grain_size1867.png

(b) Peierls lattice thermal conductivity w.r.t grain size

Phonon lifetime and scattering rates

../../_images/fig_lifetime1829.png

(a) Phonon lifetime due to phonon-phonon scattering

../../_images/fig_scat_rates1828.png

(b) Phonon scattering rates

Cumulative and spectral thermal conductivity

../../_images/fig_cumu_frequency1829.png

(a) Spectral and cumulative thermal conductivity w.r.t frequency

../../_images/fig_cumu_mfp1829.png

(b) Spectral and cumulative thermal conductivity w.r.t MFP

Force constants

../../_images/fig_fc24053.png

(a) Force constants w.r.t atomic distance

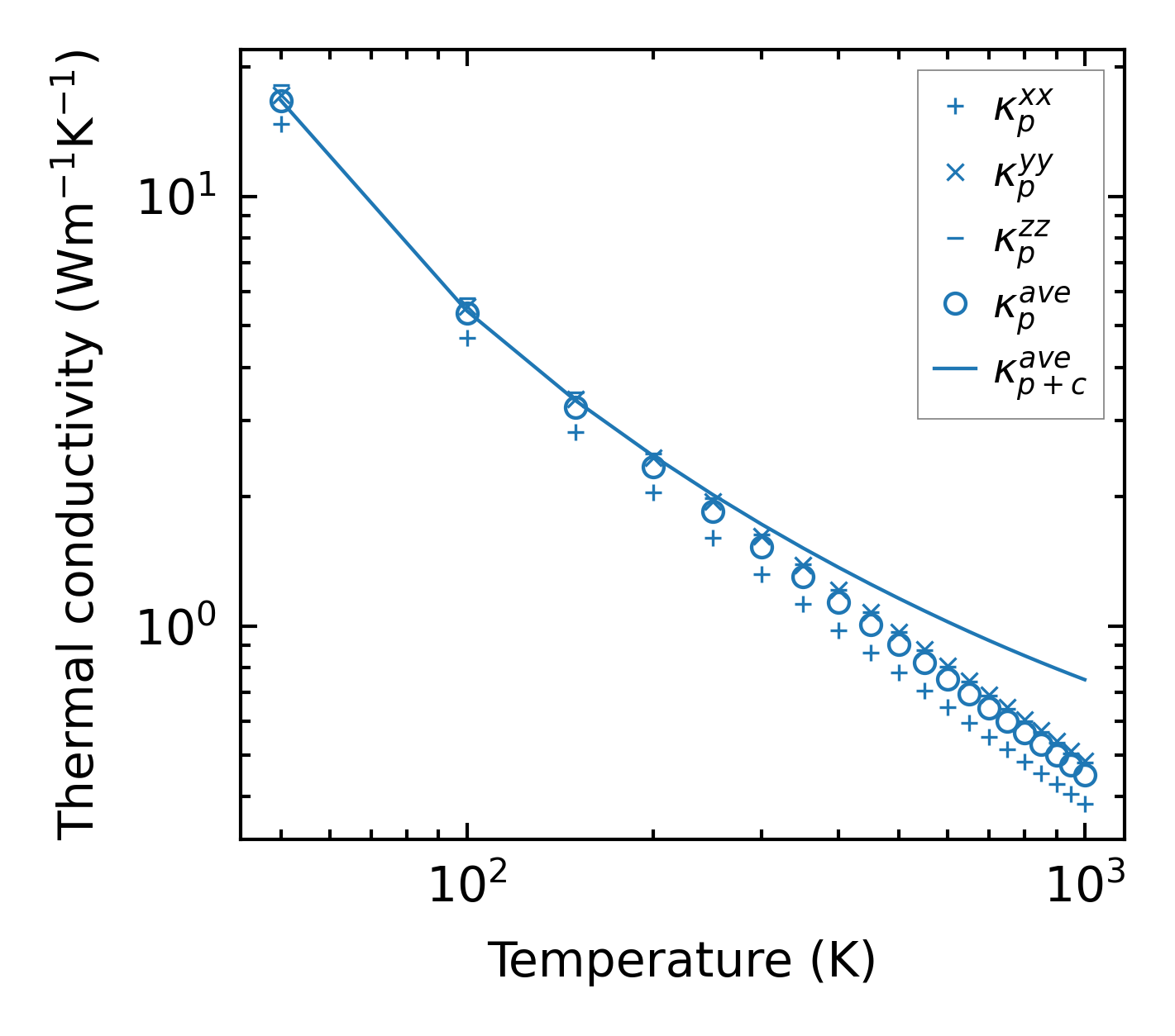
Summary

../../_images/fig_kappa3527.png

(a) Temperature-dependent lattice thermal conductivity

../../_images/fig_times7506.png

(b) Computation time