mp-707836-2/Na3H6Ir/anharm

Equation of state

../../_images/fig_bm2154.png

(a) Equation of state

Harmonic properties

../../_images/fig_bandos_pr4275.png

(a) Phonon dispersion with participation ratio and DOS

../../_images/fig_thermo4275.png

(b) Thermodynamic properties

Grüneisen parameters

../../_images/fig_gru_all1847.png

(a) Grüneisen parameters

../../_images/fig_gruneisen1847.png

(b) Phonon dispersion with Grüneisen parameters

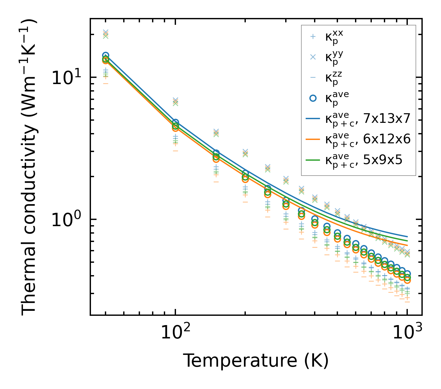
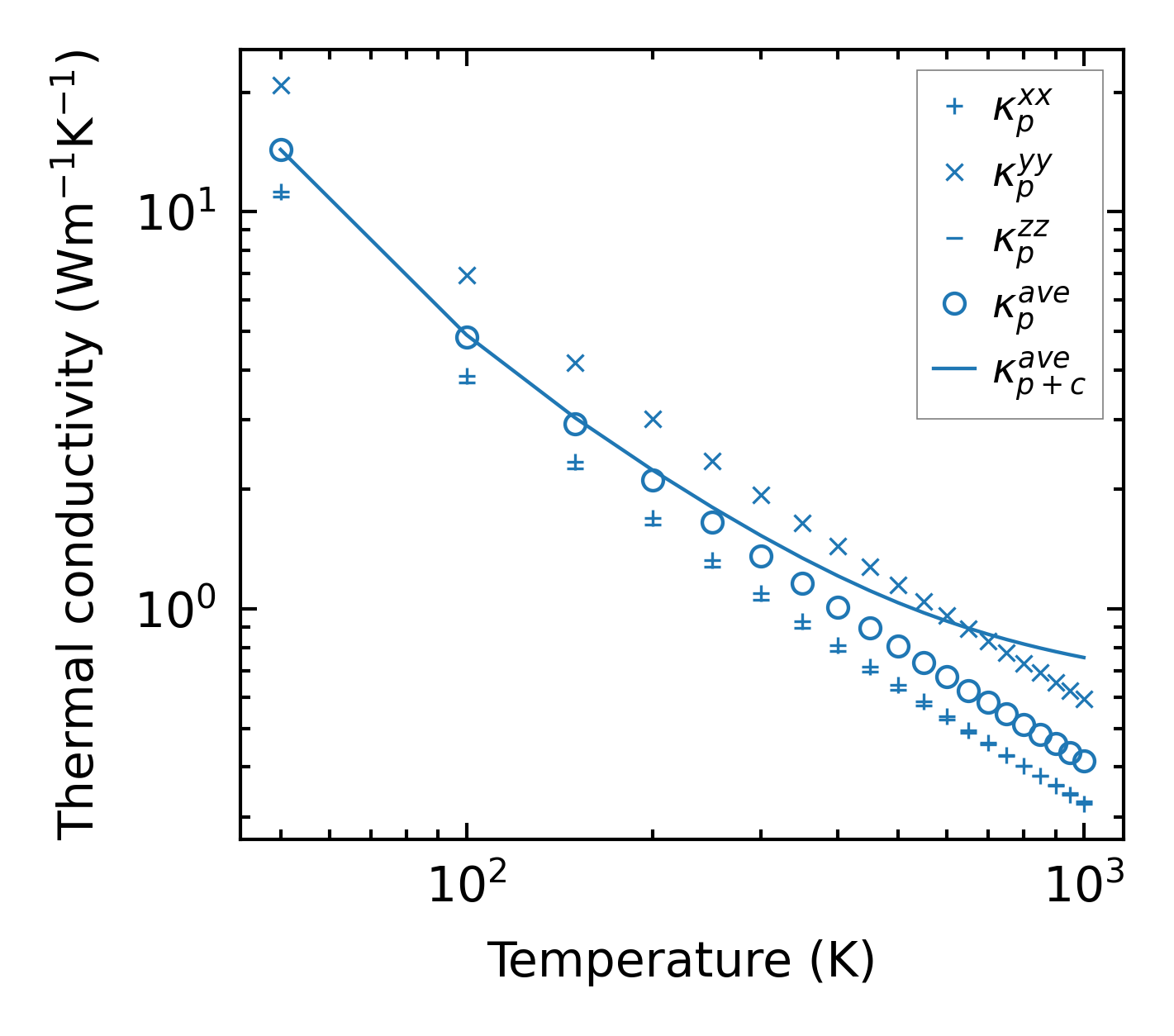
Thermal conductivity

3-phonon (LASSO) — q-mesh: 7x13x7, supercell: 1x2x1

../../_images/fig_kappa3540.png

(a) Temperature-dependent lattice thermal conductivity

../../_images/fig_kappa_vs_grain_size1875.png

(b) Peierls lattice thermal conductivity w.r.t grain size

Phonon lifetime and scattering rates

../../_images/fig_lifetime1837.png

(a) Phonon lifetime due to phonon-phonon scattering

../../_images/fig_scat_rates1836.png

(b) Phonon scattering rates

Cumulative and spectral thermal conductivity

../../_images/fig_cumu_frequency1837.png

(a) Spectral and cumulative thermal conductivity w.r.t frequency

../../_images/fig_cumu_mfp1837.png

(b) Spectral and cumulative thermal conductivity w.r.t MFP

Force constants

../../_images/fig_fc24088.png

(a) Force constants w.r.t atomic distance

Summary

../../_images/fig_kappa3541.png

(a) Temperature-dependent lattice thermal conductivity

../../_images/fig_times7589.png

(b) Computation time