mp-707176-2/NaCa2Al2P2H5O11F4/anharm

Equation of state

../../_images/fig_bm2137.png

(a) Equation of state

Harmonic properties

../../_images/fig_bandos_pr4235.png

(a) Phonon dispersion with participation ratio and DOS

../../_images/fig_bandos5865.png

(b) Phonon dispersion and DOS

../../_images/fig_thermo4235.png

(c) Thermodynamic properties

Grüneisen parameters

../../_images/fig_gru_all1838.png

(a) Grüneisen parameters

../../_images/fig_gruneisen1838.png

(b) Phonon dispersion with Grüneisen parameters

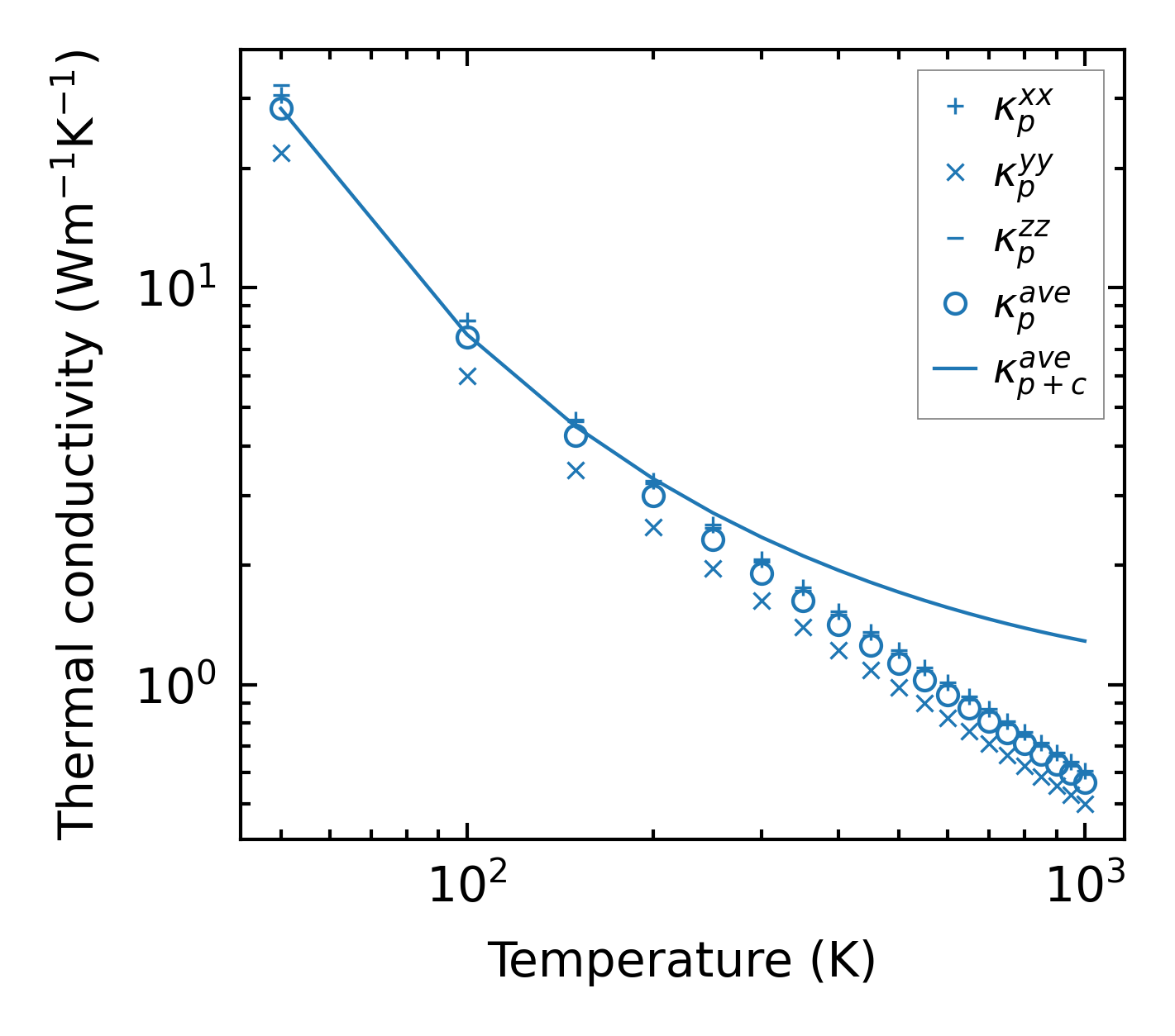
Thermal conductivity

3-phonon (LASSO), supercell 2x1x2 — q-mesh: 13x6x7, supercell: 2x1x2

../../_images/fig_kappa3525.png

(a) Temperature-dependent lattice thermal conductivity

../../_images/fig_kappa_vs_grain_size1866.png

(b) Peierls lattice thermal conductivity w.r.t grain size

Phonon lifetime and scattering rates

../../_images/fig_lifetime1828.png

(a) Phonon lifetime due to phonon-phonon scattering

../../_images/fig_scat_rates1827.png

(b) Phonon scattering rates

Cumulative and spectral thermal conductivity

../../_images/fig_cumu_frequency1828.png

(a) Spectral and cumulative thermal conductivity w.r.t frequency

../../_images/fig_cumu_mfp1828.png

(b) Spectral and cumulative thermal conductivity w.r.t MFP

Force constants

../../_images/fig_fc24048.png

(a) Force constants w.r.t atomic distance

Summary

../../_images/fig_times7496.png

(a) Computation time