mp-707276-2/TeH9SN2O5F3/harm
- Space group: P1 (1)
- Link: Materials Project
- Download: mp-707276-2.tar.gz
Equation of state
(a) Equation of state
Harmonic properties
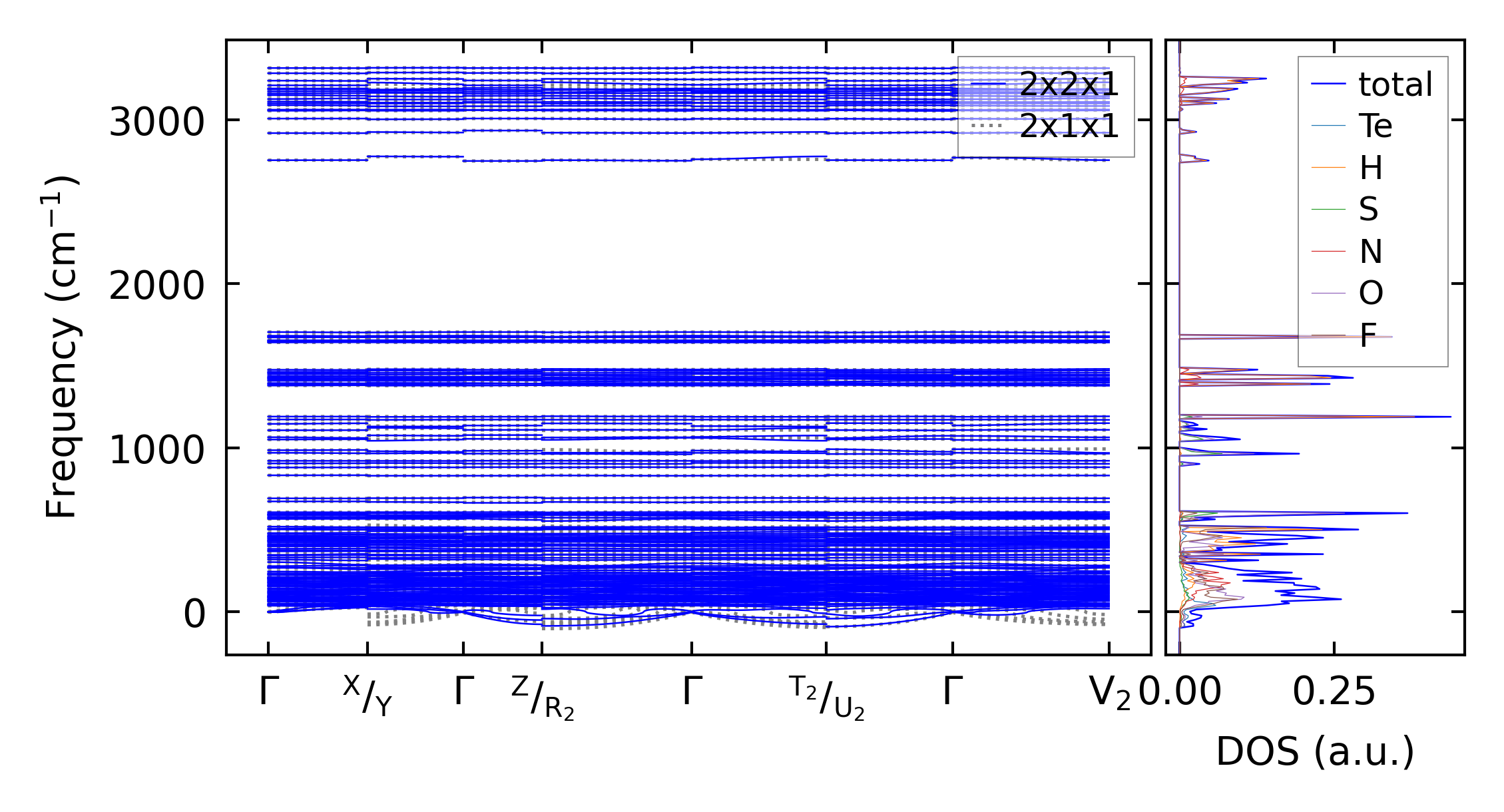
(a) Phonon dispersion and DOS
Summary
(a) Computation time
(a) Equation of state
(a) Phonon dispersion and DOS
(a) Computation time