mp-707645/Na2Ca3B5H2S2ClO18/anharm

Harmonic properties

../../_images/fig_bandos_pr4264.png

(a) Phonon dispersion with participation ratio and DOS

../../_images/fig_bandos5930.png

(b) Phonon dispersion and DOS

../../_images/fig_thermo4264.png

(c) Thermodynamic properties

Grüneisen parameters

../../_images/fig_gru_all1843.png

(a) Grüneisen parameters

../../_images/fig_gruneisen1843.png

(b) Phonon dispersion with Grüneisen parameters

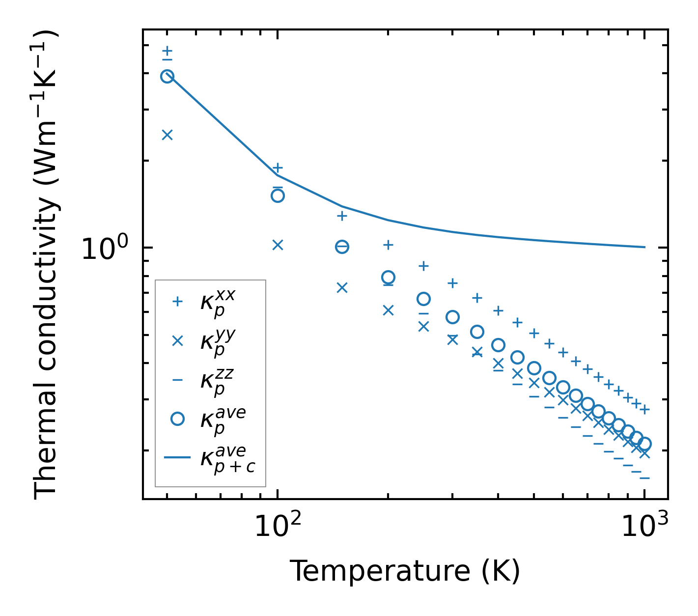
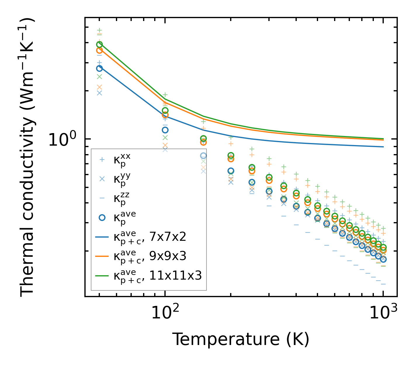
Thermal conductivity

3-phonon (LASSO) — q-mesh: 11x11x3, supercell: 1x1x1

../../_images/fig_kappa3533.png

(a) Temperature-dependent lattice thermal conductivity

../../_images/fig_kappa_vs_grain_size1871.png

(b) Peierls lattice thermal conductivity w.r.t grain size

Phonon lifetime and scattering rates

../../_images/fig_lifetime1833.png

(a) Phonon lifetime due to phonon-phonon scattering

../../_images/fig_scat_rates1832.png

(b) Phonon scattering rates

Cumulative and spectral thermal conductivity

../../_images/fig_cumu_frequency1833.png

(a) Spectral and cumulative thermal conductivity w.r.t frequency

../../_images/fig_cumu_mfp1833.png

(b) Spectral and cumulative thermal conductivity w.r.t MFP

Force constants

../../_images/fig_fc24077.png

(a) Force constants w.r.t atomic distance

Summary

../../_images/fig_kappa3534.png

(a) Temperature-dependent lattice thermal conductivity

../../_images/fig_times7564.png

(b) Computation time