mp-707762-2/K2CaH8N12O4/anharm

Equation of state

../../_images/fig_bm2153.png

(a) Equation of state

Harmonic properties

../../_images/fig_bandos_pr4268.png

(a) Phonon dispersion with participation ratio and DOS

../../_images/fig_bandos5942.png

(b) Phonon dispersion and DOS

../../_images/fig_thermo4268.png

(c) Thermodynamic properties

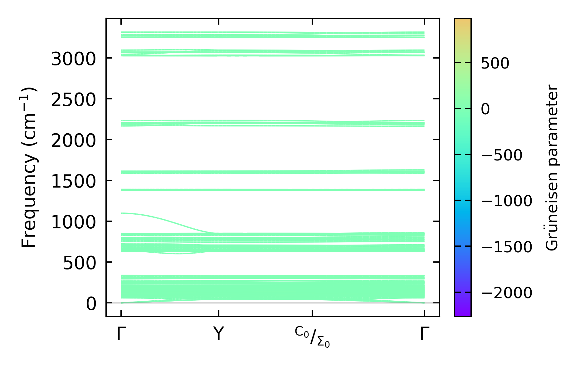
Grüneisen parameters

../../_images/fig_gru_all1845.png

(a) Grüneisen parameters

../../_images/fig_gruneisen1845.png

(b) Phonon dispersion with Grüneisen parameters

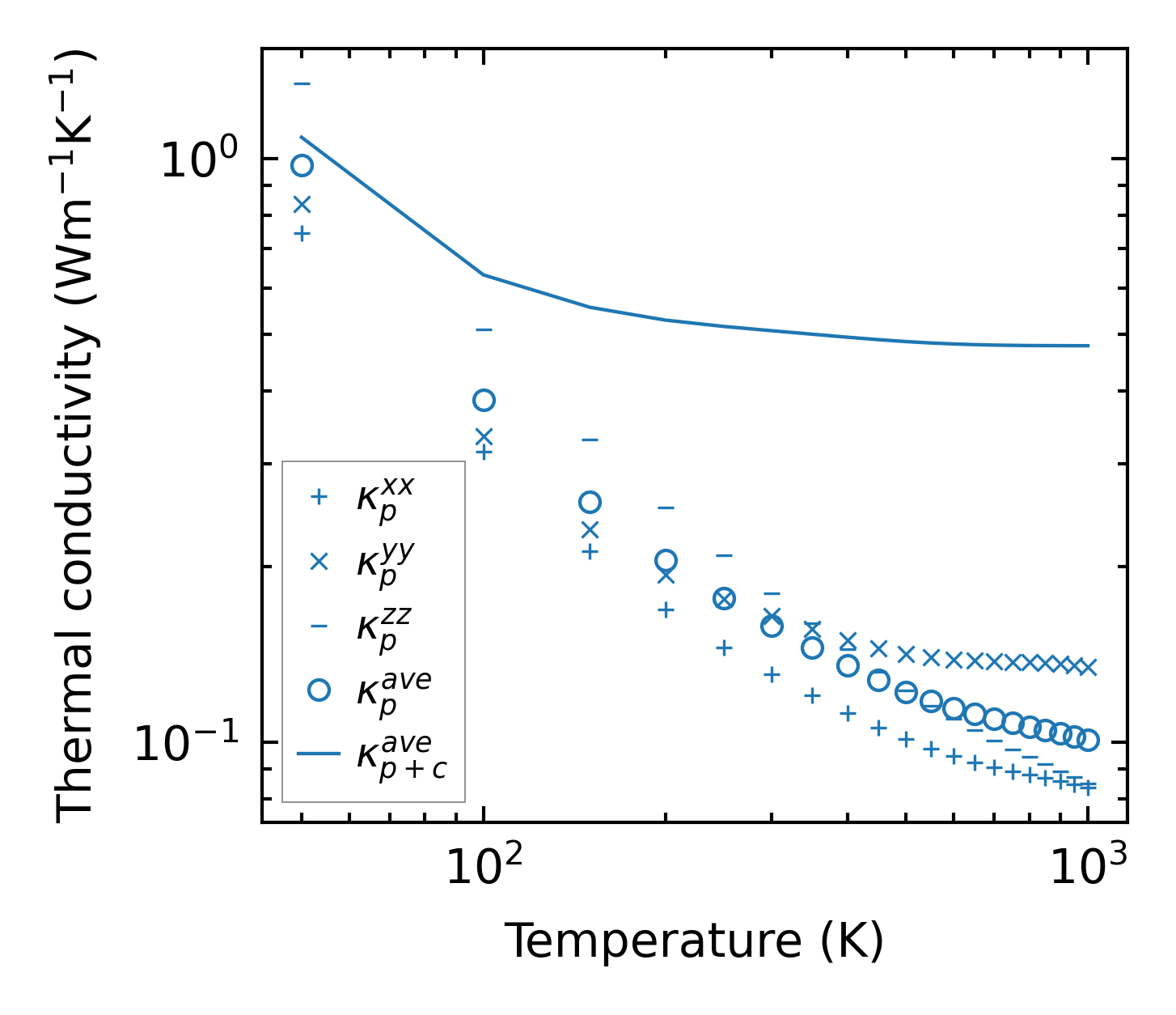
Thermal conductivity

3-phonon (LASSO), supercell 1x1x2 — q-mesh: 7x7x12, supercell: 1x1x2

../../_images/fig_kappa3537.png

(a) Temperature-dependent lattice thermal conductivity

../../_images/fig_kappa_vs_grain_size1873.png

(b) Peierls lattice thermal conductivity w.r.t grain size

Phonon lifetime and scattering rates

../../_images/fig_lifetime1835.png

(a) Phonon lifetime due to phonon-phonon scattering

../../_images/fig_scat_rates1834.png

(b) Phonon scattering rates

Cumulative and spectral thermal conductivity

../../_images/fig_cumu_frequency1835.png

(a) Spectral and cumulative thermal conductivity w.r.t frequency

../../_images/fig_cumu_mfp1835.png

(b) Spectral and cumulative thermal conductivity w.r.t MFP

Force constants

../../_images/fig_fc24081.png

(a) Force constants w.r.t atomic distance

Summary

../../_images/fig_times7577.png

(a) Computation time