mp-695890/Mg10Si3H4O18/anharm

Equation of state

../../_images/fig_bm2399.png

(a) Equation of state

Harmonic properties

../../_images/fig_bandos_pr4853.png

(a) Phonon dispersion with participation ratio and DOS

../../_images/fig_thermo4853.png

(b) Thermodynamic properties

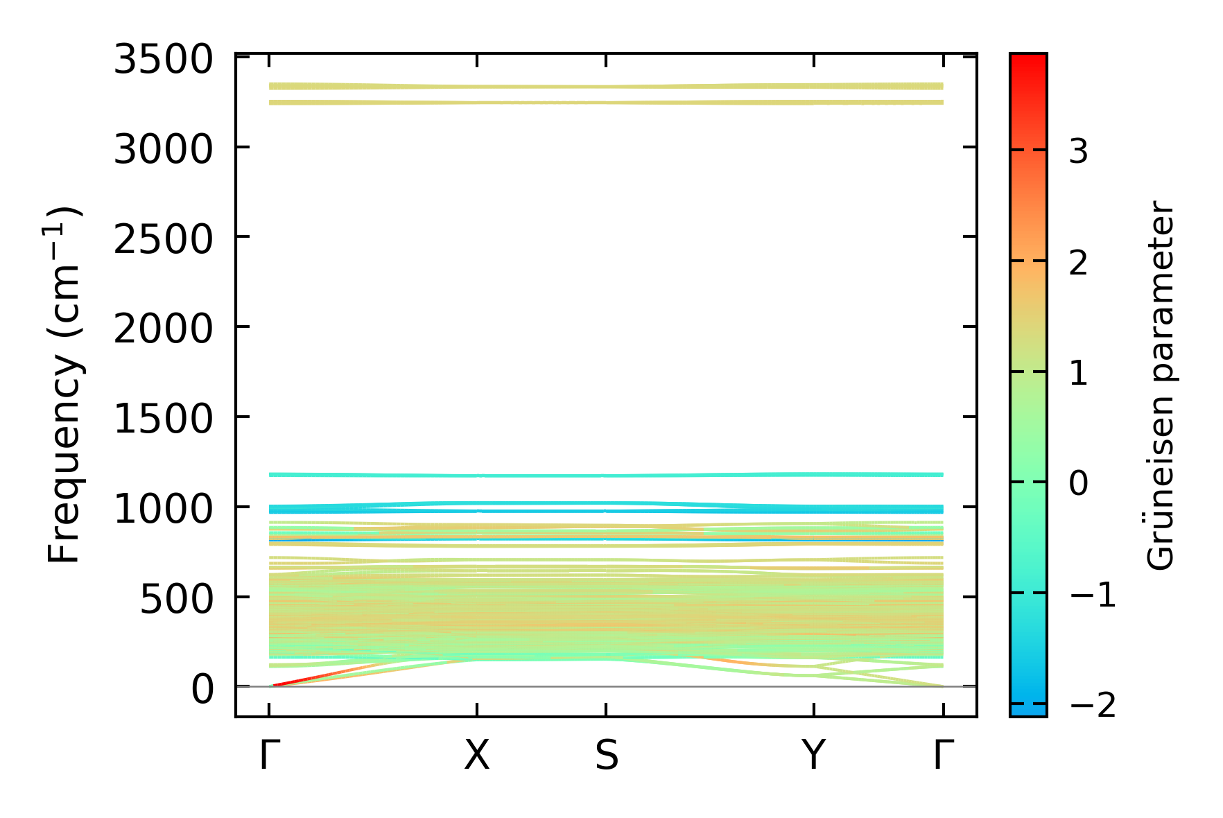
Grüneisen parameters

../../_images/fig_gru_all2086.png

(a) Grüneisen parameters

../../_images/fig_gruneisen2086.png

(b) Phonon dispersion with Grüneisen parameters

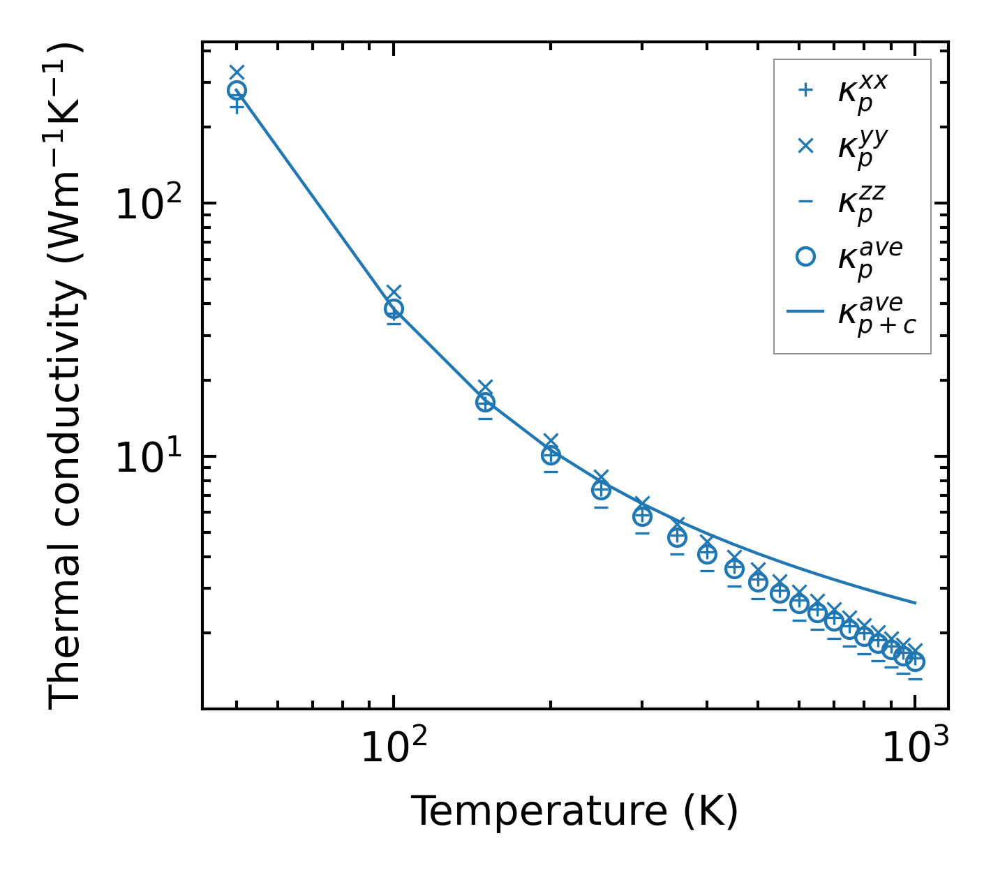
Thermal conductivity

3-phonon (LASSO) — q-mesh: 14x5x8, supercell: 2x1x1

../../_images/fig_kappa4001.png

(a) Temperature-dependent lattice thermal conductivity

../../_images/fig_kappa_vs_grain_size2117.png

(b) Peierls lattice thermal conductivity w.r.t grain size

Phonon lifetime and scattering rates

../../_images/fig_lifetime2073.png

(a) Phonon lifetime due to phonon-phonon scattering

../../_images/fig_scat_rates2072.png

(b) Phonon scattering rates

Cumulative and spectral thermal conductivity

../../_images/fig_cumu_frequency2073.png

(a) Spectral and cumulative thermal conductivity w.r.t frequency

../../_images/fig_cumu_mfp2073.png

(b) Spectral and cumulative thermal conductivity w.r.t MFP

Force constants

../../_images/fig_fc24662.png

(a) Force constants w.r.t atomic distance

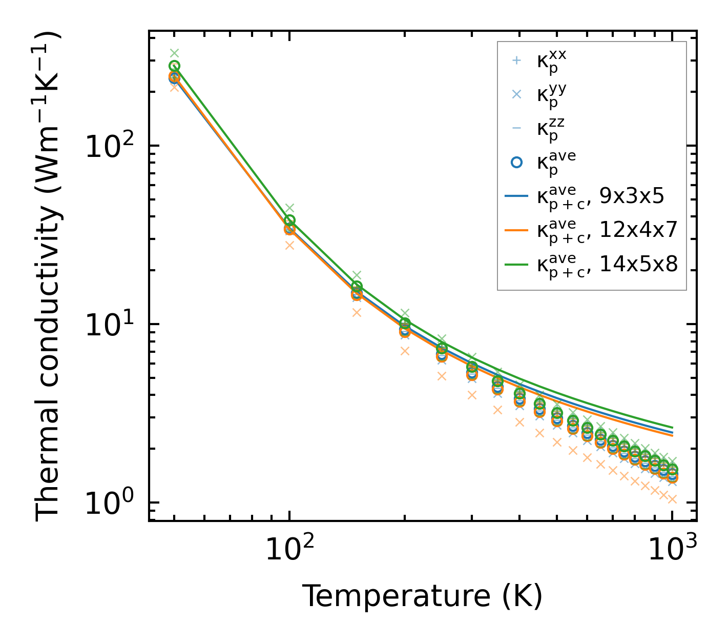
Summary

../../_images/fig_kappa4002.png

(a) Temperature-dependent lattice thermal conductivity

../../_images/fig_times8605.png

(b) Computation time