mp-695202-2/Mg4Al9CuSi9O36/harm

Harmonic properties

../../_images/fig_bandos_pr4833.png

(a) Phonon dispersion with participation ratio and DOS

../../_images/fig_bandos6701.png

(b) Phonon dispersion and DOS

../../_images/fig_thermo4833.png

(c) Thermodynamic properties

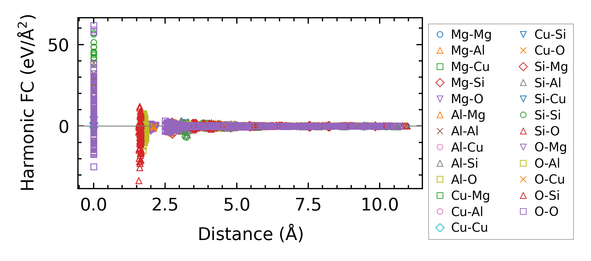
Force constants

../../_images/fig_fc24642.png

(a) Force constants w.r.t atomic distance

Summary

../../_images/fig_times8551.png

(a) Computation time