mp-695202/Mg4Al9CuSi9O36/harm

Equation of state

../../_images/fig_bm2392.png

(a) Equation of state

Harmonic properties

../../_images/fig_bandos_pr4832.png

(a) Phonon dispersion with participation ratio and DOS

../../_images/fig_bandos6700.png

(b) Phonon dispersion and DOS

../../_images/fig_thermo4832.png

(c) Thermodynamic properties

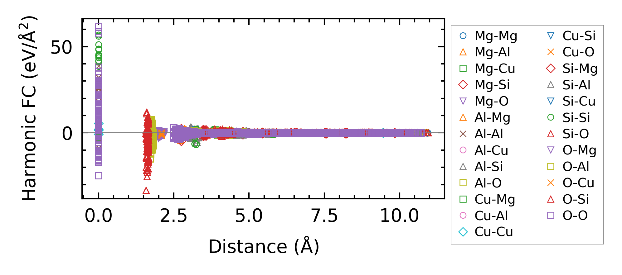
Force constants

../../_images/fig_fc24641.png

(a) Force constants w.r.t atomic distance

Summary

../../_images/fig_times8550.png

(a) Computation time