mp-695850/CdCl2/anharm

Harmonic properties

../../_images/fig_bandos_pr4852.png

(a) Phonon dispersion with participation ratio and DOS

../../_images/fig_thermo4852.png

(b) Thermodynamic properties

Grüneisen parameters

../../_images/fig_gru_all2085.png

(a) Grüneisen parameters

../../_images/fig_gruneisen2085.png

(b) Phonon dispersion with Grüneisen parameters

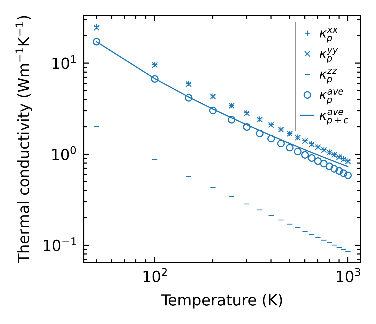
Thermal conductivity

3-phonon (LASSO) — q-mesh: 19x19x12, supercell: 4x4x3

../../_images/fig_kappa3999.png

(a) Temperature-dependent lattice thermal conductivity

../../_images/fig_kappa_vs_grain_size2116.png

(b) Peierls lattice thermal conductivity w.r.t grain size

Phonon lifetime and scattering rates

../../_images/fig_lifetime2072.png

(a) Phonon lifetime due to phonon-phonon scattering

../../_images/fig_scat_rates2071.png

(b) Phonon scattering rates

Cumulative and spectral thermal conductivity

../../_images/fig_cumu_frequency2072.png

(a) Spectral and cumulative thermal conductivity w.r.t frequency

../../_images/fig_cumu_mfp2072.png

(b) Spectral and cumulative thermal conductivity w.r.t MFP

Force constants

../../_images/fig_fc24661.png

(a) Force constants w.r.t atomic distance

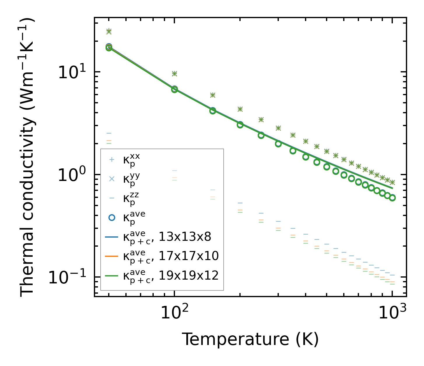
Summary

../../_images/fig_kappa4000.png

(a) Temperature-dependent lattice thermal conductivity

../../_images/fig_times8603.png

(b) Computation time