mp-642996/Li4H6Os/anharm

Harmonic properties

../../_images/fig_bandos_pr5452.png

(a) Phonon dispersion with participation ratio and DOS

../../_images/fig_thermo5452.png

(b) Thermodynamic properties

Grüneisen parameters

../../_images/fig_gru_all2266.png

(a) Grüneisen parameters

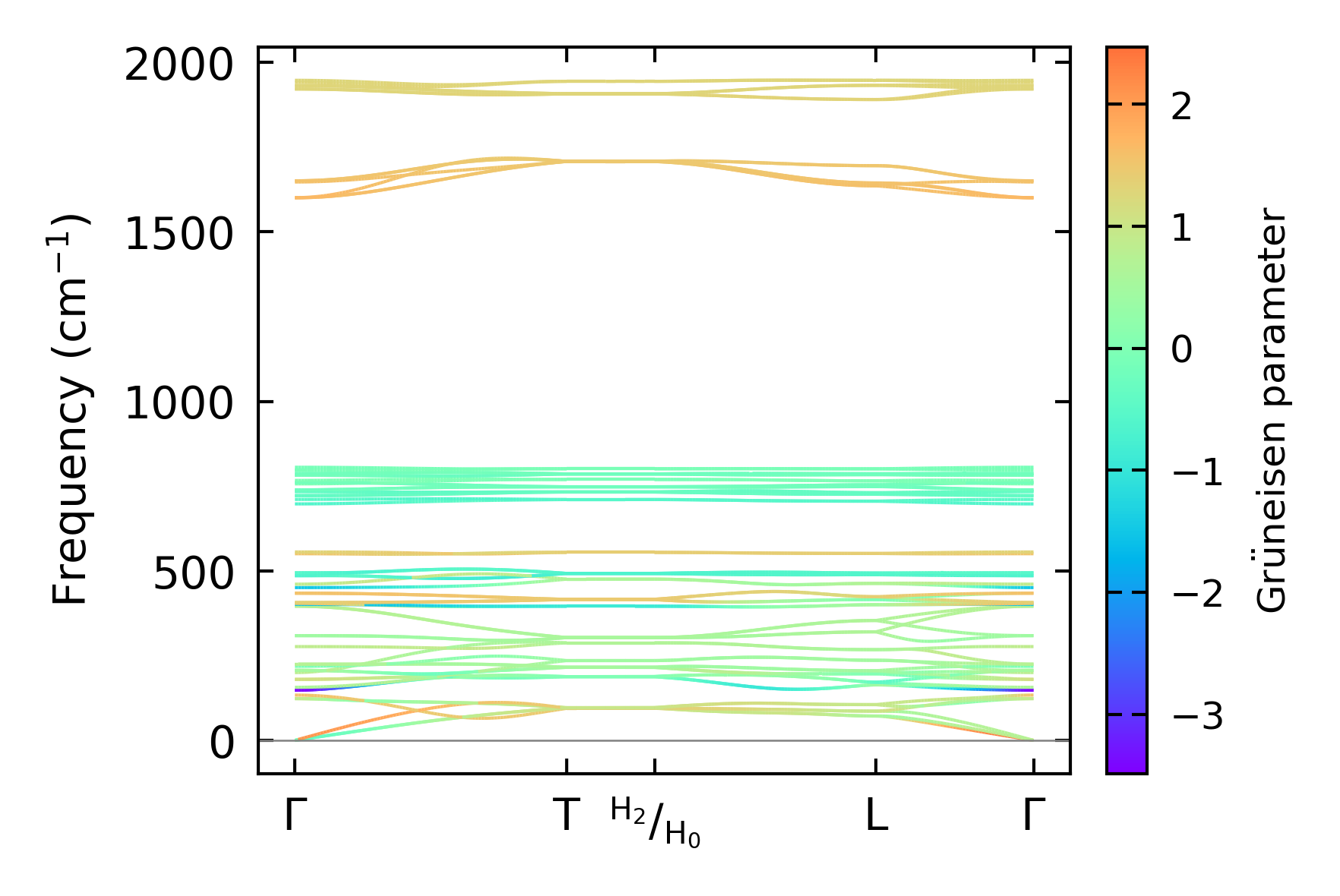
../../_images/fig_gruneisen2266.png

(b) Phonon dispersion with Grüneisen parameters

Thermal conductivity

3-phonon (LASSO) — q-mesh: 12x12x12, supercell: 1x1x1

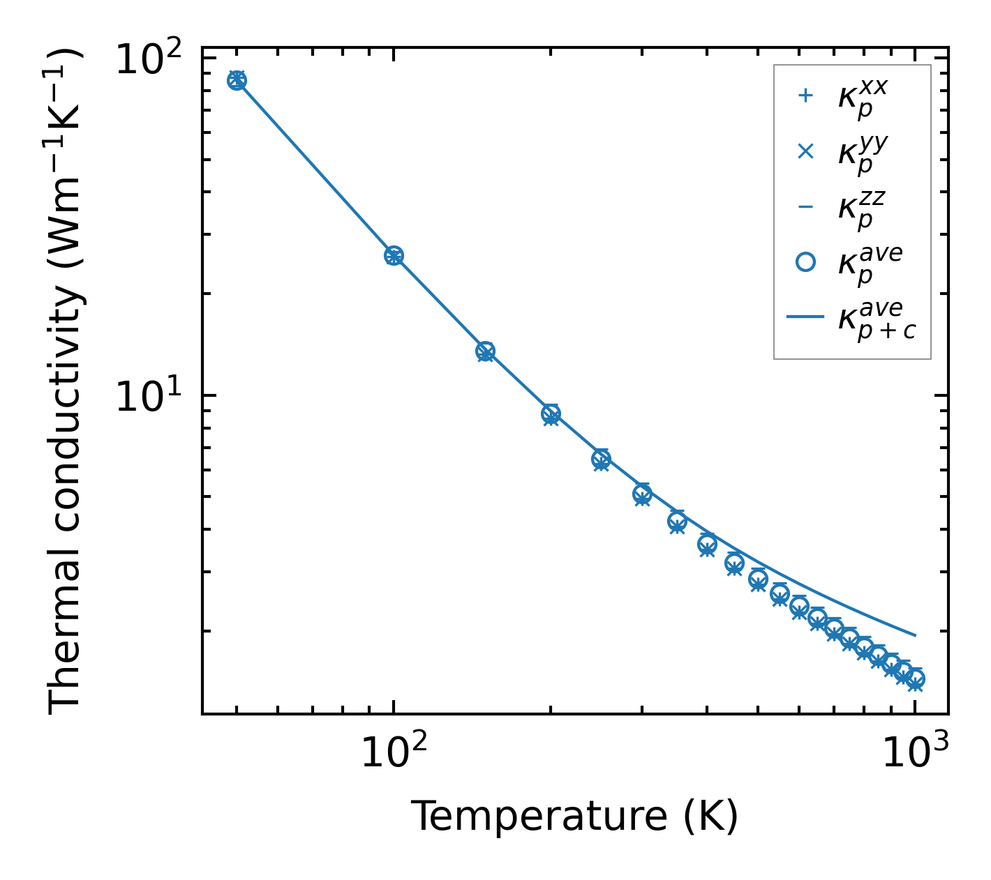
../../_images/fig_kappa4336.png

(a) Temperature-dependent lattice thermal conductivity

../../_images/fig_kappa_vs_grain_size2297.png

(b) Peierls lattice thermal conductivity w.r.t grain size

Phonon lifetime and scattering rates

../../_images/fig_lifetime2252.png

(a) Phonon lifetime due to phonon-phonon scattering

../../_images/fig_scat_rates2251.png

(b) Phonon scattering rates

Cumulative and spectral thermal conductivity

../../_images/fig_cumu_frequency2252.png

(a) Spectral and cumulative thermal conductivity w.r.t frequency

../../_images/fig_cumu_mfp2252.png

(b) Spectral and cumulative thermal conductivity w.r.t MFP

Force constants

../../_images/fig_fc25257.png

(a) Force constants w.r.t atomic distance

Summary

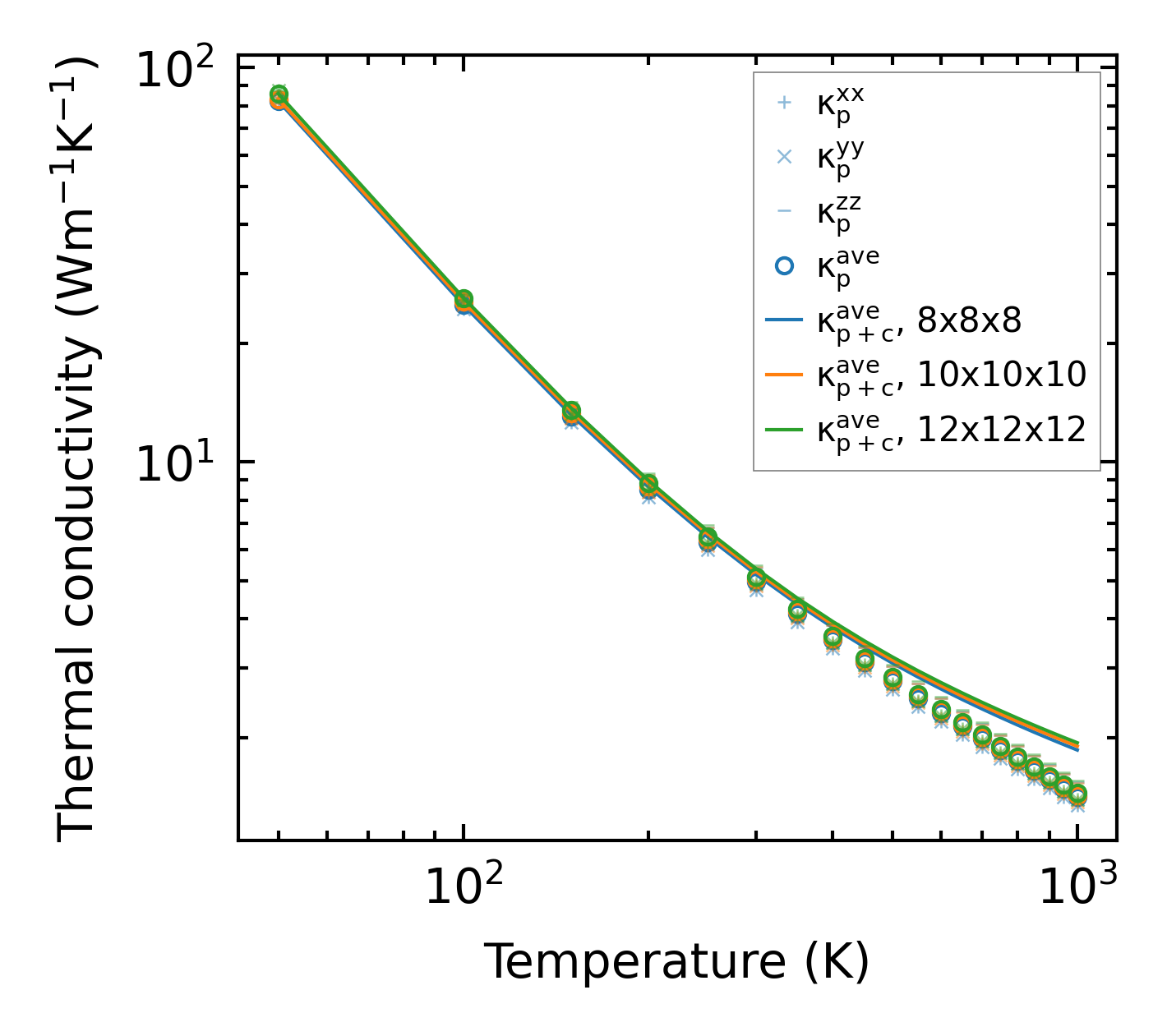
../../_images/fig_kappa4337.png

(a) Temperature-dependent lattice thermal conductivity

../../_images/fig_times9873.png

(b) Computation time