mp-642807/TbH2Br/anharm

Harmonic properties

../../_images/fig_bandos_pr5442.png

(a) Phonon dispersion with participation ratio and DOS

../../_images/fig_thermo5442.png

(b) Thermodynamic properties

Grüneisen parameters

../../_images/fig_gru_all2261.png

(a) Grüneisen parameters

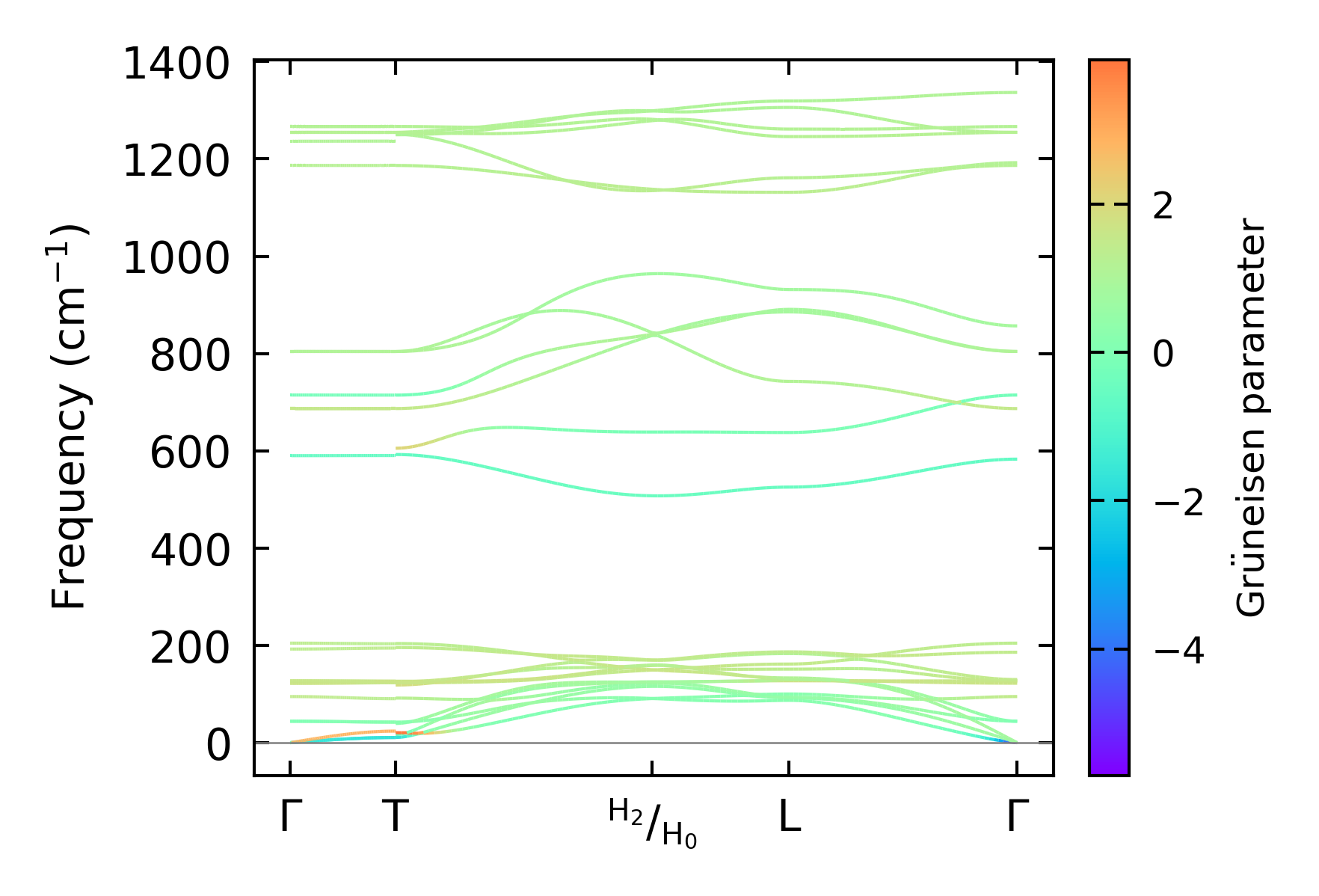
../../_images/fig_gruneisen2261.png

(b) Phonon dispersion with Grüneisen parameters

Thermal conductivity

3-phonon (LASSO) — q-mesh: 14x14x14, supercell: 2x2x1

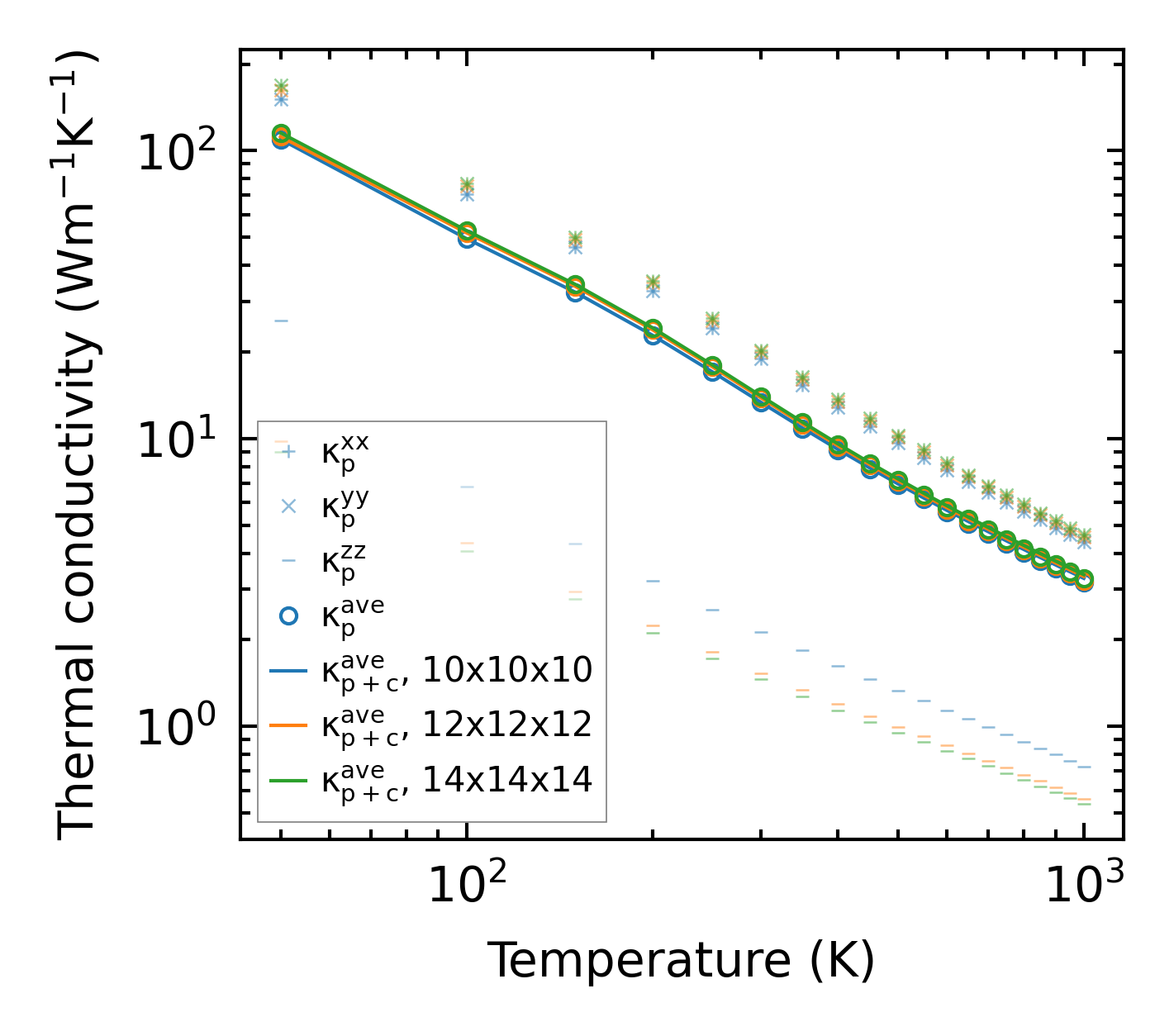
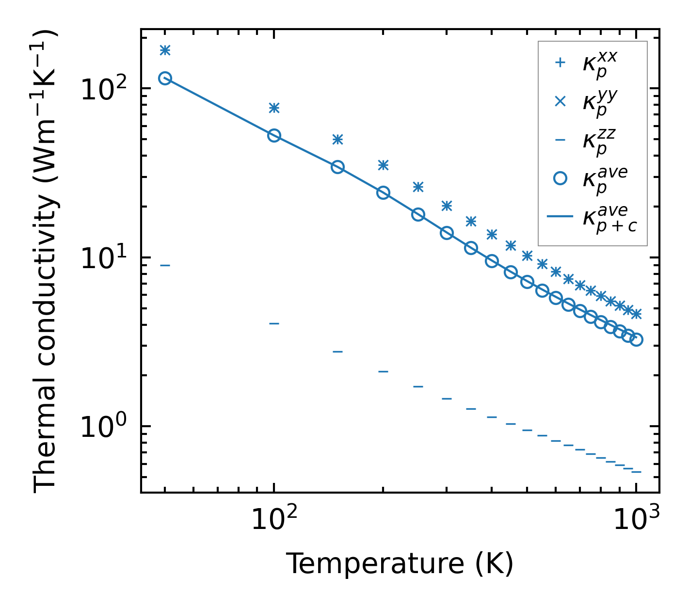
../../_images/fig_kappa4326.png

(a) Temperature-dependent lattice thermal conductivity

../../_images/fig_kappa_vs_grain_size2292.png

(b) Peierls lattice thermal conductivity w.r.t grain size

Phonon lifetime and scattering rates

../../_images/fig_lifetime2247.png

(a) Phonon lifetime due to phonon-phonon scattering

../../_images/fig_scat_rates2246.png

(b) Phonon scattering rates

Cumulative and spectral thermal conductivity

../../_images/fig_cumu_frequency2247.png

(a) Spectral and cumulative thermal conductivity w.r.t frequency

../../_images/fig_cumu_mfp2247.png

(b) Spectral and cumulative thermal conductivity w.r.t MFP

Force constants

../../_images/fig_fc25247.png

(a) Force constants w.r.t atomic distance

Summary

../../_images/fig_kappa4327.png

(a) Temperature-dependent lattice thermal conductivity

../../_images/fig_times9858.png

(b) Computation time