mp-642847/Li4H6Ru/anharm

Equation of state

../../_images/fig_bm2658.png

(a) Equation of state

Harmonic properties

../../_images/fig_bandos_pr5450.png

(a) Phonon dispersion with participation ratio and DOS

../../_images/fig_thermo5450.png

(b) Thermodynamic properties

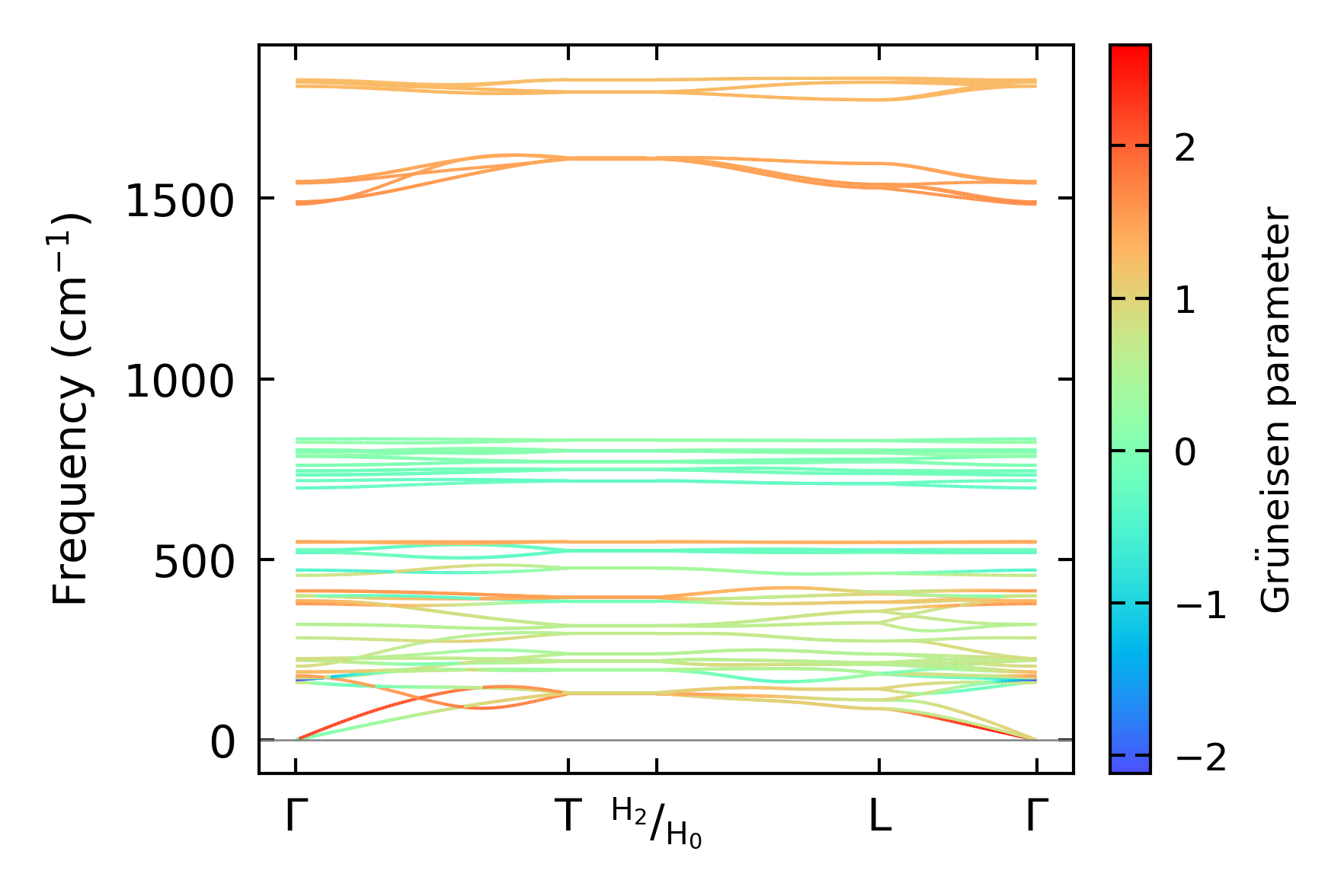
Grüneisen parameters

../../_images/fig_gru_all2265.png

(a) Grüneisen parameters

../../_images/fig_gruneisen2265.png

(b) Phonon dispersion with Grüneisen parameters

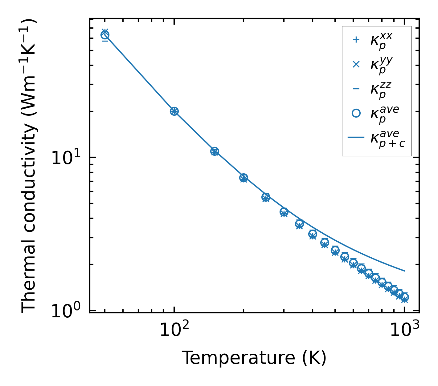
Thermal conductivity

3-phonon (LASSO) — q-mesh: 12x12x12, supercell: 1x1x1

../../_images/fig_kappa4334.png

(a) Temperature-dependent lattice thermal conductivity

../../_images/fig_kappa_vs_grain_size2296.png

(b) Peierls lattice thermal conductivity w.r.t grain size

Phonon lifetime and scattering rates

../../_images/fig_lifetime2251.png

(a) Phonon lifetime due to phonon-phonon scattering

../../_images/fig_scat_rates2250.png

(b) Phonon scattering rates

Cumulative and spectral thermal conductivity

../../_images/fig_cumu_frequency2251.png

(a) Spectral and cumulative thermal conductivity w.r.t frequency

../../_images/fig_cumu_mfp2251.png

(b) Spectral and cumulative thermal conductivity w.r.t MFP

Force constants

../../_images/fig_fc25255.png

(a) Force constants w.r.t atomic distance

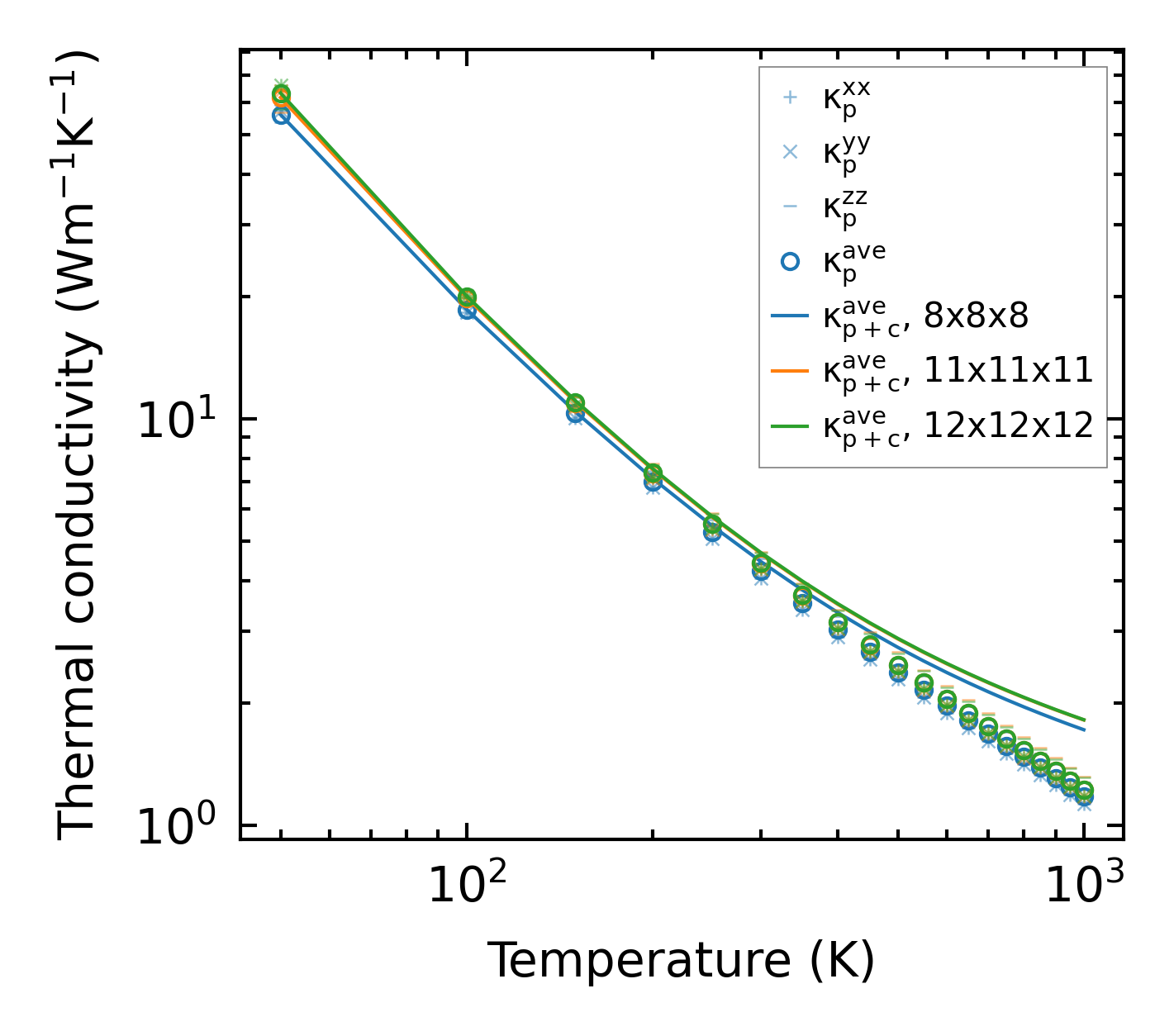
Summary

../../_images/fig_kappa4335.png

(a) Temperature-dependent lattice thermal conductivity

../../_images/fig_times9868.png

(b) Computation time