mp-642817/KHO/anharm

Harmonic properties

../../_images/fig_bandos_pr5445.png

(a) Phonon dispersion with participation ratio and DOS

../../_images/fig_thermo5445.png

(b) Thermodynamic properties

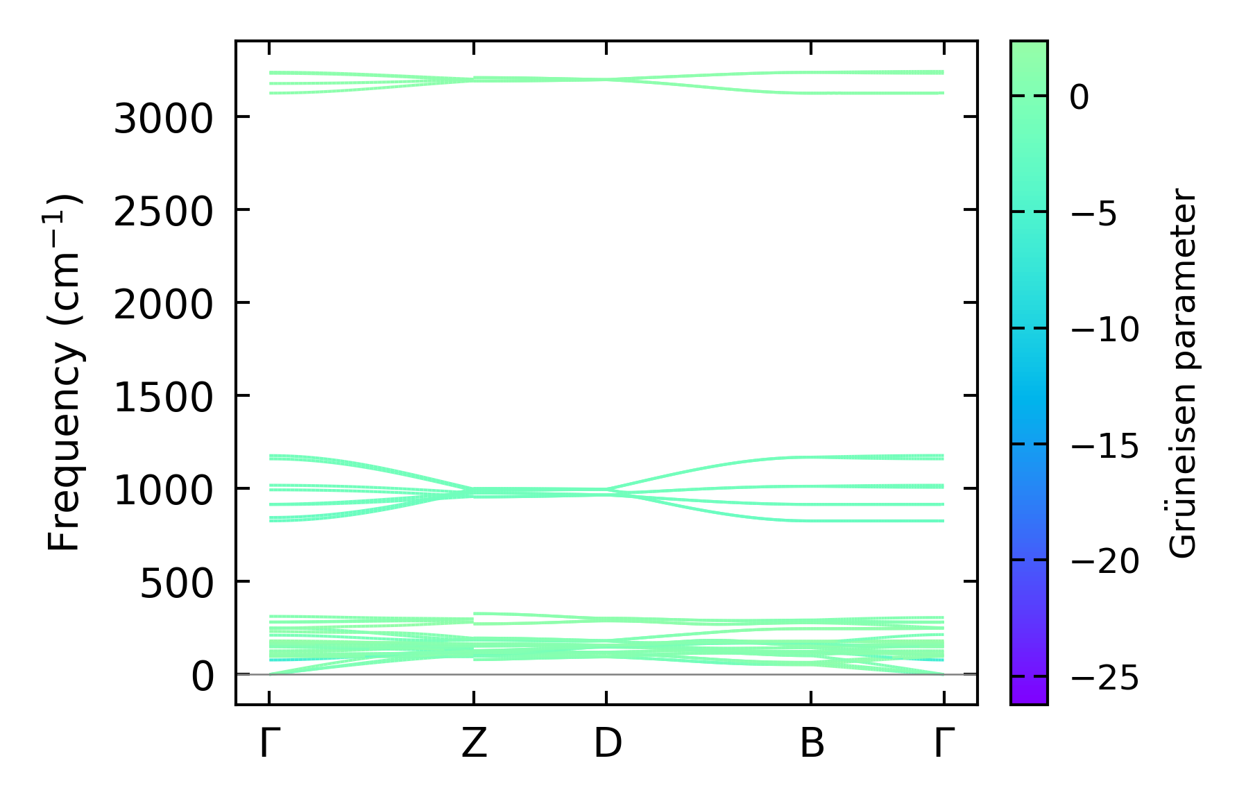
Grüneisen parameters

../../_images/fig_gru_all2262.png

(a) Grüneisen parameters

../../_images/fig_gruneisen2262.png

(b) Phonon dispersion with Grüneisen parameters

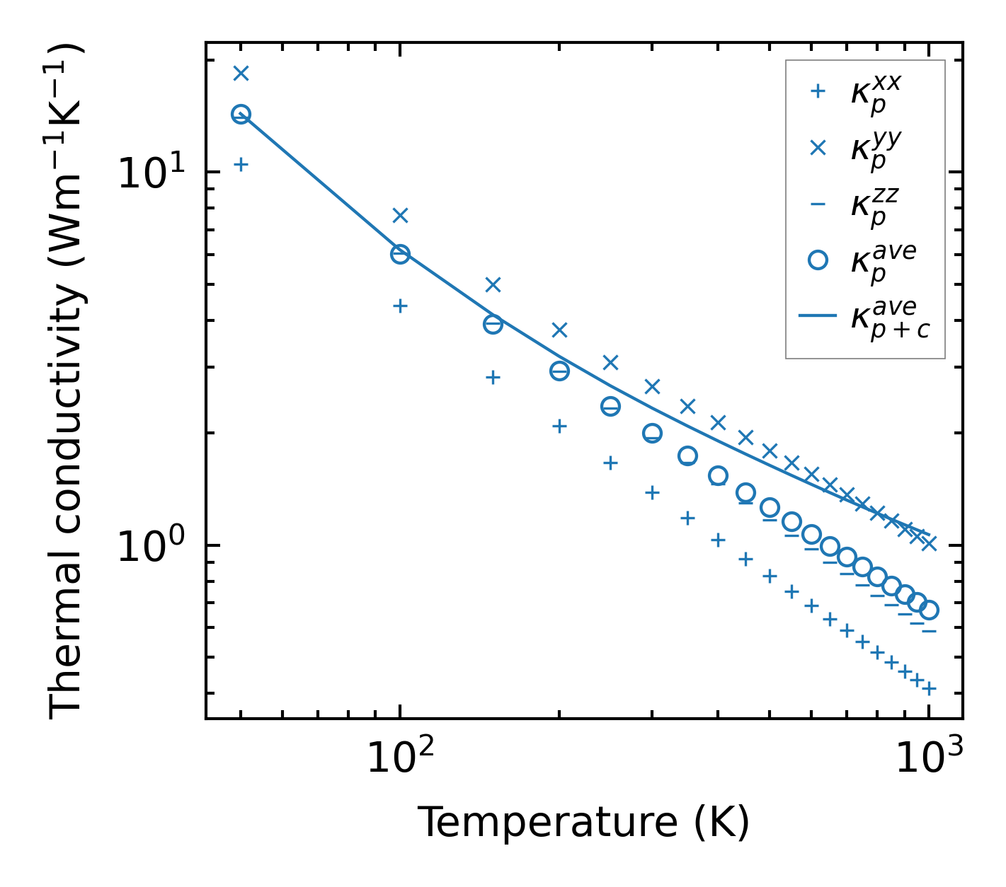
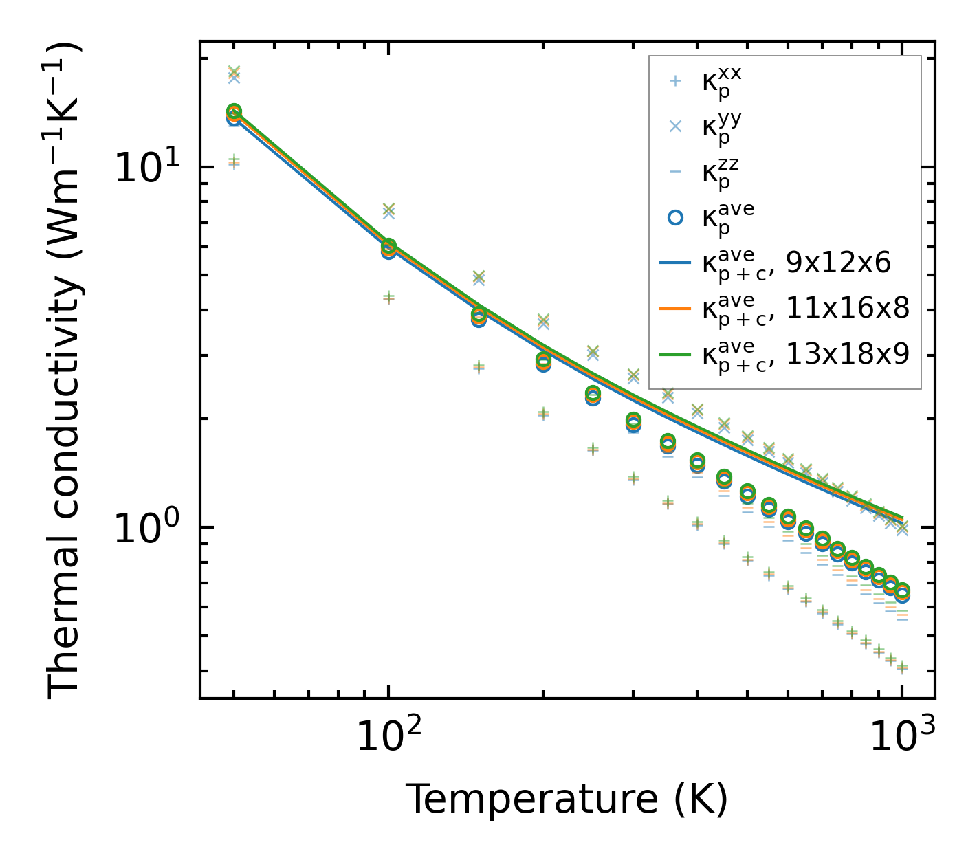
Thermal conductivity

3-phonon (LASSO) — q-mesh: 13x18x9, supercell: 2x3x2

../../_images/fig_kappa4328.png

(a) Temperature-dependent lattice thermal conductivity

../../_images/fig_kappa_vs_grain_size2293.png

(b) Peierls lattice thermal conductivity w.r.t grain size

Phonon lifetime and scattering rates

../../_images/fig_lifetime2248.png

(a) Phonon lifetime due to phonon-phonon scattering

../../_images/fig_scat_rates2247.png

(b) Phonon scattering rates

Cumulative and spectral thermal conductivity

../../_images/fig_cumu_frequency2248.png

(a) Spectral and cumulative thermal conductivity w.r.t frequency

../../_images/fig_cumu_mfp2248.png

(b) Spectral and cumulative thermal conductivity w.r.t MFP

Force constants

../../_images/fig_fc25250.png

(a) Force constants w.r.t atomic distance

Summary

../../_images/fig_kappa4329.png

(a) Temperature-dependent lattice thermal conductivity

../../_images/fig_times9861.png

(b) Computation time