mp-642735/Rb2H4Pt/anharm

Harmonic properties

../../_images/fig_bandos_pr5438.png

(a) Phonon dispersion with participation ratio and DOS

../../_images/fig_thermo5438.png

(b) Thermodynamic properties

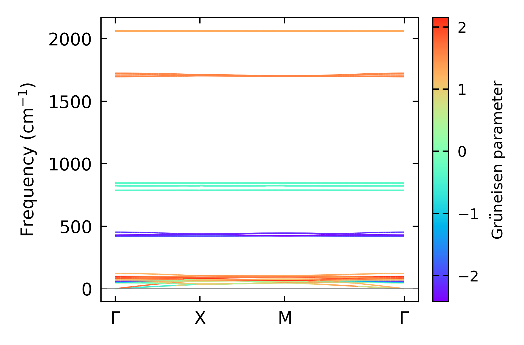
Grüneisen parameters

../../_images/fig_gru_all2259.png

(a) Grüneisen parameters

../../_images/fig_gruneisen2259.png

(b) Phonon dispersion with Grüneisen parameters

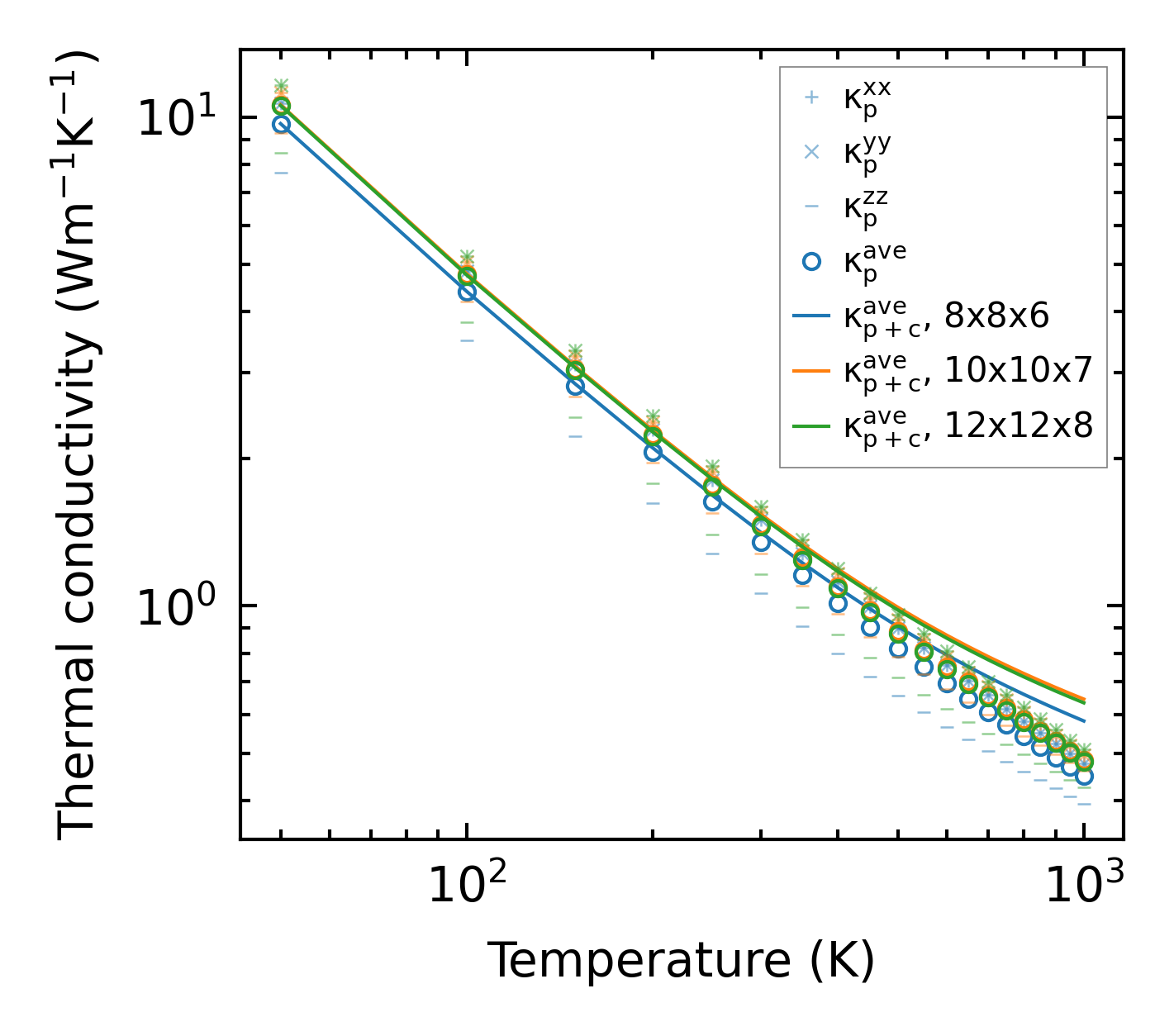
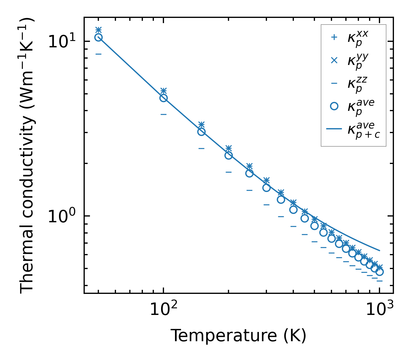
Thermal conductivity

3-phonon (LASSO) — q-mesh: 12x12x8, supercell: 2x2x2

../../_images/fig_kappa4322.png

(a) Temperature-dependent lattice thermal conductivity

../../_images/fig_kappa_vs_grain_size2290.png

(b) Peierls lattice thermal conductivity w.r.t grain size

Phonon lifetime and scattering rates

../../_images/fig_lifetime2245.png

(a) Phonon lifetime due to phonon-phonon scattering

../../_images/fig_scat_rates2244.png

(b) Phonon scattering rates

Cumulative and spectral thermal conductivity

../../_images/fig_cumu_frequency2245.png

(a) Spectral and cumulative thermal conductivity w.r.t frequency

../../_images/fig_cumu_mfp2245.png

(b) Spectral and cumulative thermal conductivity w.r.t MFP

Force constants

../../_images/fig_fc25243.png

(a) Force constants w.r.t atomic distance

Summary

../../_images/fig_kappa4323.png

(a) Temperature-dependent lattice thermal conductivity

../../_images/fig_times9852.png

(b) Computation time