mp-642736/K3H5Pd/anharm

Harmonic properties

../../_images/fig_bandos_pr5439.png

(a) Phonon dispersion with participation ratio and DOS

../../_images/fig_thermo5439.png

(b) Thermodynamic properties

Grüneisen parameters

../../_images/fig_gru_all2260.png

(a) Grüneisen parameters

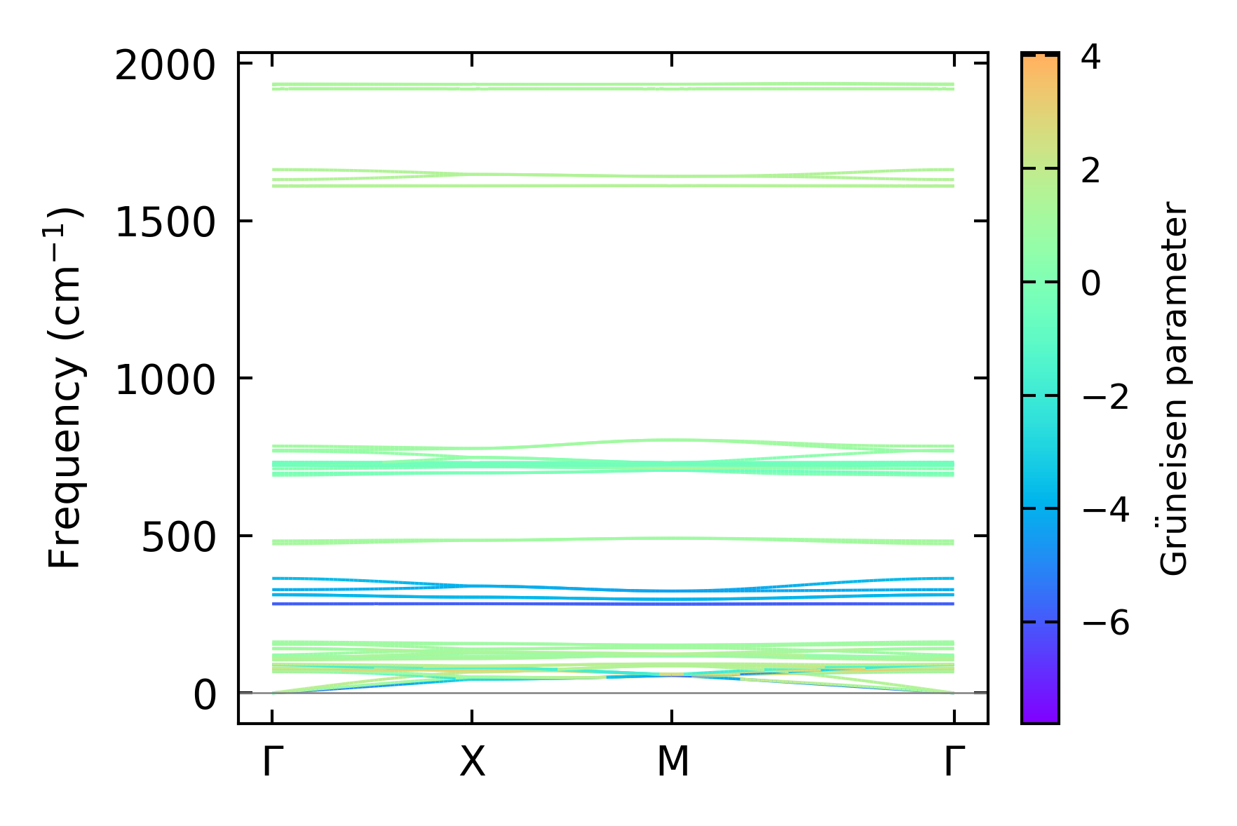
../../_images/fig_gruneisen2260.png

(b) Phonon dispersion with Grüneisen parameters

Thermal conductivity

3-phonon (LASSO) — q-mesh: 9x9x12, supercell: 2x2x2

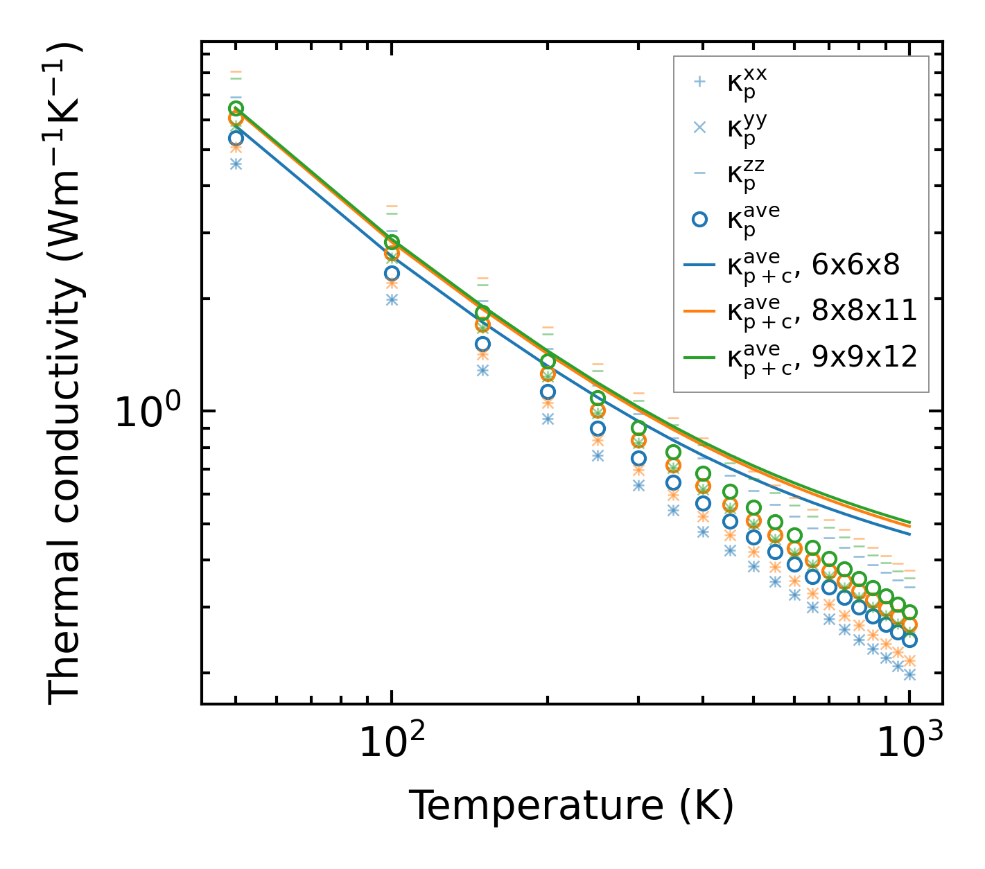
../../_images/fig_kappa4324.png

(a) Temperature-dependent lattice thermal conductivity

../../_images/fig_kappa_vs_grain_size2291.png

(b) Peierls lattice thermal conductivity w.r.t grain size

Phonon lifetime and scattering rates

../../_images/fig_lifetime2246.png

(a) Phonon lifetime due to phonon-phonon scattering

../../_images/fig_scat_rates2245.png

(b) Phonon scattering rates

Cumulative and spectral thermal conductivity

../../_images/fig_cumu_frequency2246.png

(a) Spectral and cumulative thermal conductivity w.r.t frequency

../../_images/fig_cumu_mfp2246.png

(b) Spectral and cumulative thermal conductivity w.r.t MFP

Force constants

../../_images/fig_fc25244.png

(a) Force constants w.r.t atomic distance

Summary

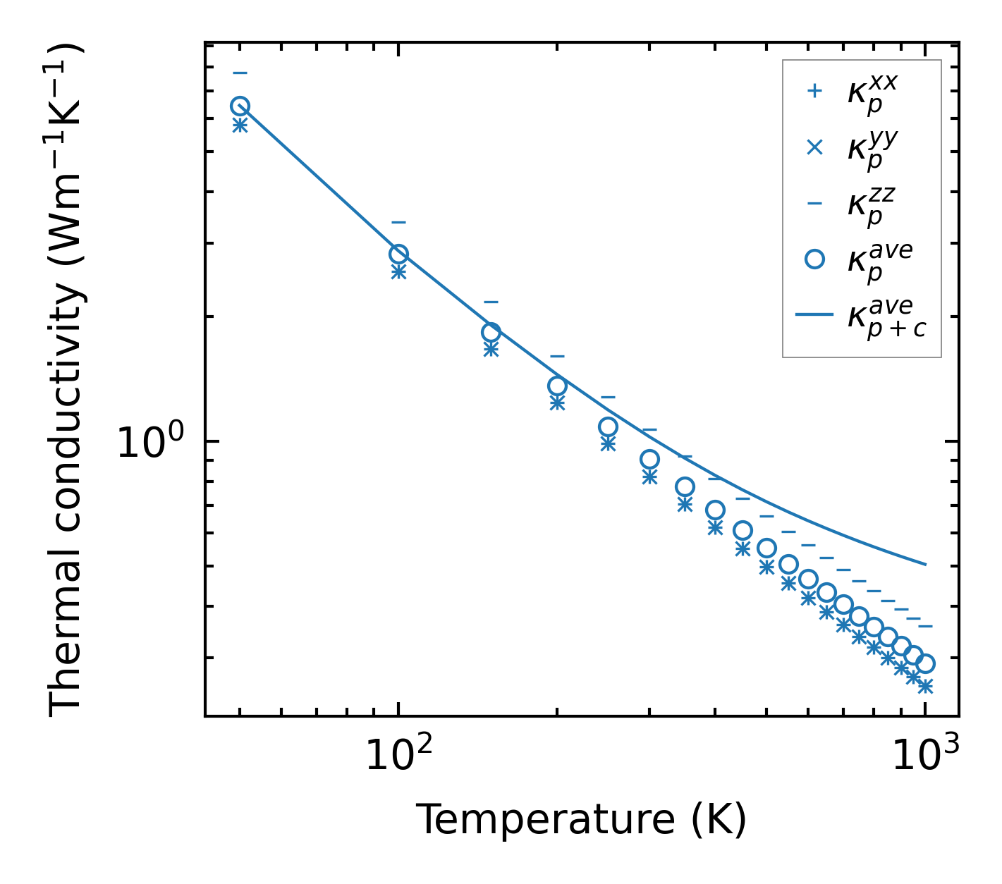
../../_images/fig_kappa4325.png

(a) Temperature-dependent lattice thermal conductivity

../../_images/fig_times9853.png

(b) Computation time