mp-546757/Sn3PO4F3/harm

Harmonic properties

../../_images/fig_bandos_pr9422.png

(a) Phonon dispersion with participation ratio and DOS

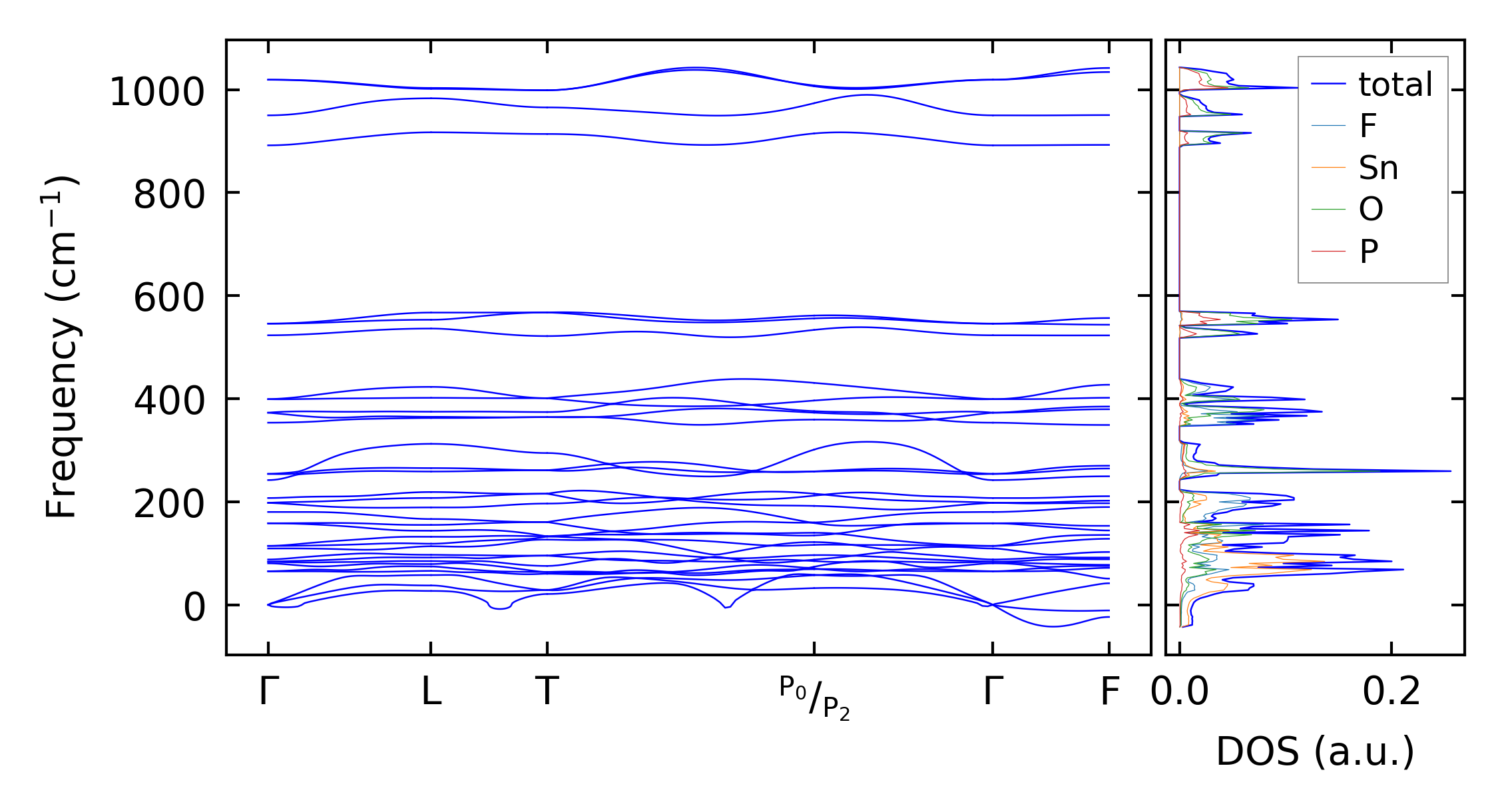
../../_images/fig_bandos13193.png

(b) Phonon dispersion and DOS

../../_images/fig_thermo9422.png

(c) Thermodynamic properties

Force constants

../../_images/fig_fc29184.png

(a) Force constants w.r.t atomic distance

Summary

../../_images/fig_times16398.png

(a) Computation time