mp-546679/Nd2AlNO3/anharm

Harmonic properties

../../_images/fig_bandos_pr9417.png

(a) Phonon dispersion with participation ratio and DOS

../../_images/fig_thermo9417.png

(b) Thermodynamic properties

Grüneisen parameters

../../_images/fig_gru_all3747.png

(a) Grüneisen parameters

../../_images/fig_gruneisen3747.png

(b) Phonon dispersion with Grüneisen parameters

Thermal conductivity

3-phonon (LASSO) — q-mesh: 16x16x16, supercell: 3x3x1

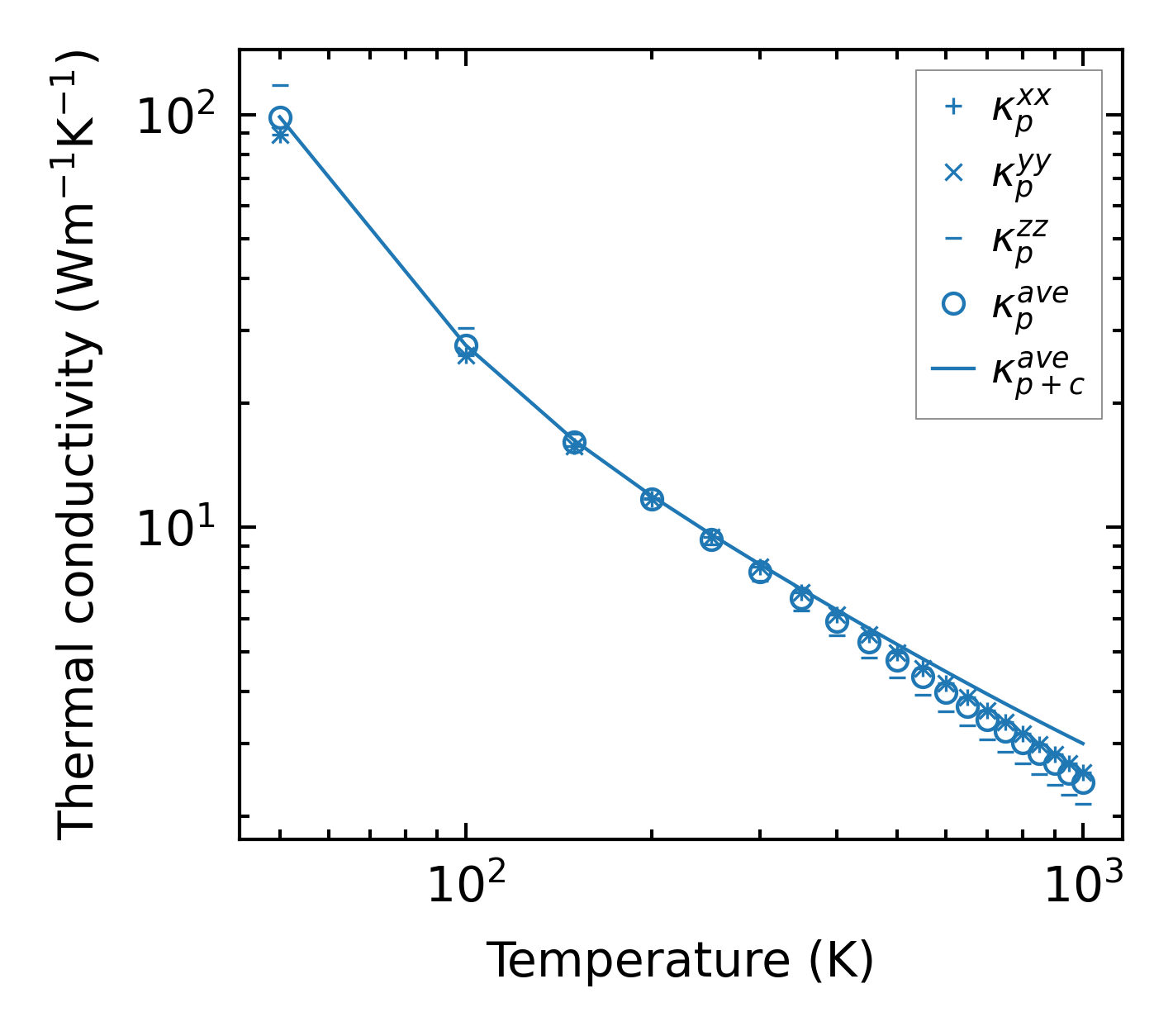
../../_images/fig_kappa7073.png

(a) Temperature-dependent lattice thermal conductivity

../../_images/fig_kappa_vs_grain_size3796.png

(b) Peierls lattice thermal conductivity w.r.t grain size

Phonon lifetime and scattering rates

../../_images/fig_lifetime3712.png

(a) Phonon lifetime due to phonon-phonon scattering

../../_images/fig_scat_rates3711.png

(b) Phonon scattering rates

Cumulative and spectral thermal conductivity

../../_images/fig_cumu_frequency3712.png

(a) Spectral and cumulative thermal conductivity w.r.t frequency

../../_images/fig_cumu_mfp3711.png

(b) Spectral and cumulative thermal conductivity w.r.t MFP

Force constants

../../_images/fig_fc29179.png

(a) Force constants w.r.t atomic distance

Summary

../../_images/fig_kappa7074.png

(a) Temperature-dependent lattice thermal conductivity

../../_images/fig_times16393.png

(b) Computation time