mp-546152/SmBi2ClO4/anharm

Harmonic properties

../../_images/fig_bandos_pr9405.png

(a) Phonon dispersion with participation ratio and DOS

../../_images/fig_thermo9405.png

(b) Thermodynamic properties

Grüneisen parameters

../../_images/fig_gru_all3741.png

(a) Grüneisen parameters

../../_images/fig_gruneisen3741.png

(b) Phonon dispersion with Grüneisen parameters

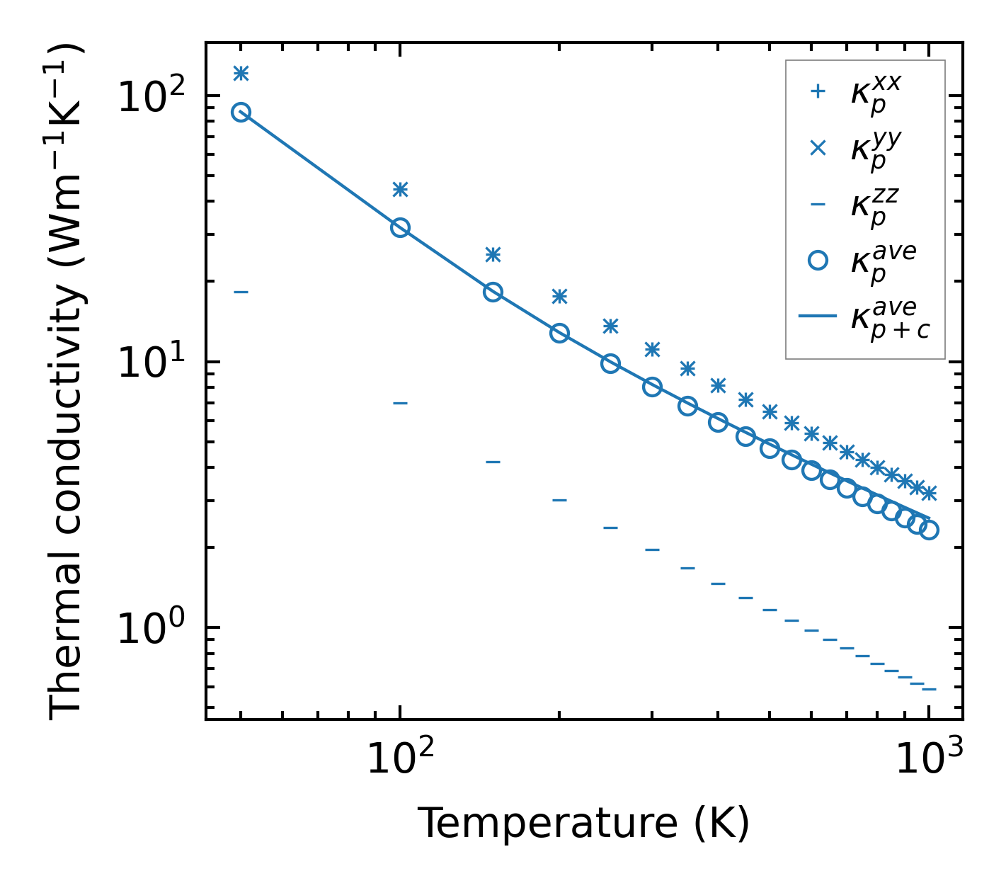
Thermal conductivity

3-phonon (LASSO) — q-mesh: 18x18x8, supercell: 3x3x2

../../_images/fig_kappa7061.png

(a) Temperature-dependent lattice thermal conductivity

../../_images/fig_kappa_vs_grain_size3790.png

(b) Peierls lattice thermal conductivity w.r.t grain size

Phonon lifetime and scattering rates

../../_images/fig_lifetime3706.png

(a) Phonon lifetime due to phonon-phonon scattering

../../_images/fig_scat_rates3705.png

(b) Phonon scattering rates

Cumulative and spectral thermal conductivity

../../_images/fig_cumu_frequency3706.png

(a) Spectral and cumulative thermal conductivity w.r.t frequency

../../_images/fig_cumu_mfp3705.png

(b) Spectral and cumulative thermal conductivity w.r.t MFP

Force constants

../../_images/fig_fc29167.png

(a) Force constants w.r.t atomic distance

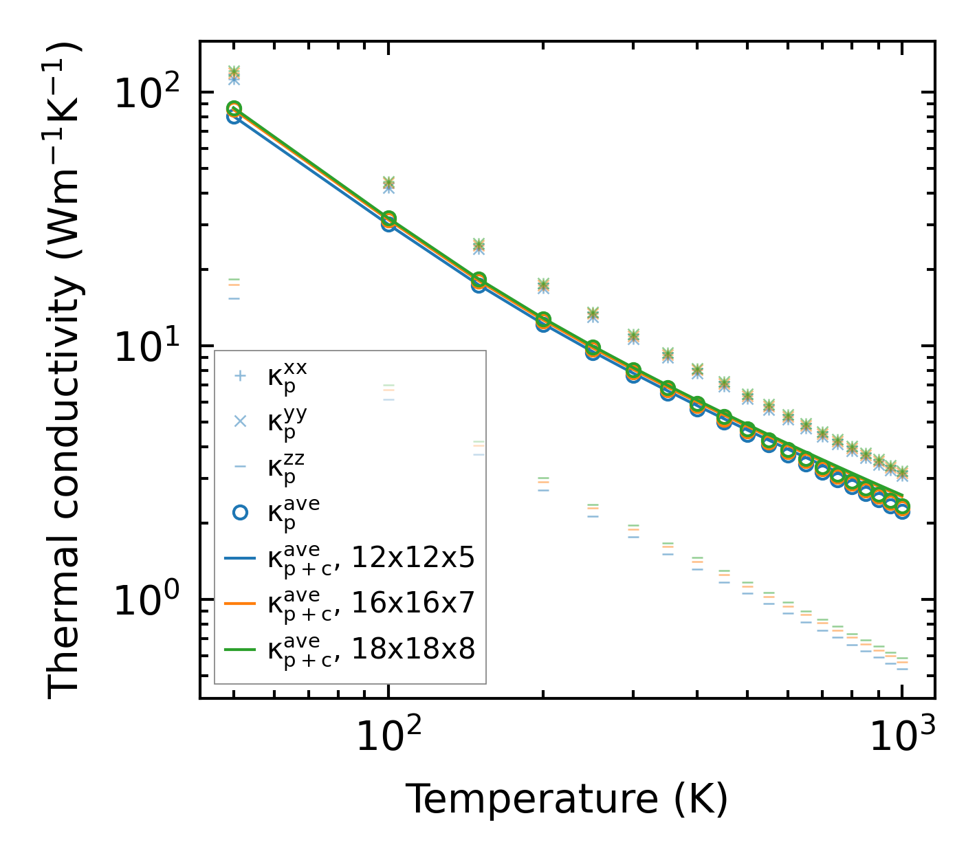
Summary

../../_images/fig_kappa7062.png

(a) Temperature-dependent lattice thermal conductivity

../../_images/fig_times16377.png

(b) Computation time