mp-546350/TmBi2BrO4/anharm

Harmonic properties

../../_images/fig_bandos_pr9409.png

(a) Phonon dispersion with participation ratio and DOS

../../_images/fig_thermo9409.png

(b) Thermodynamic properties

Grüneisen parameters

../../_images/fig_gru_all3743.png

(a) Grüneisen parameters

../../_images/fig_gruneisen3743.png

(b) Phonon dispersion with Grüneisen parameters

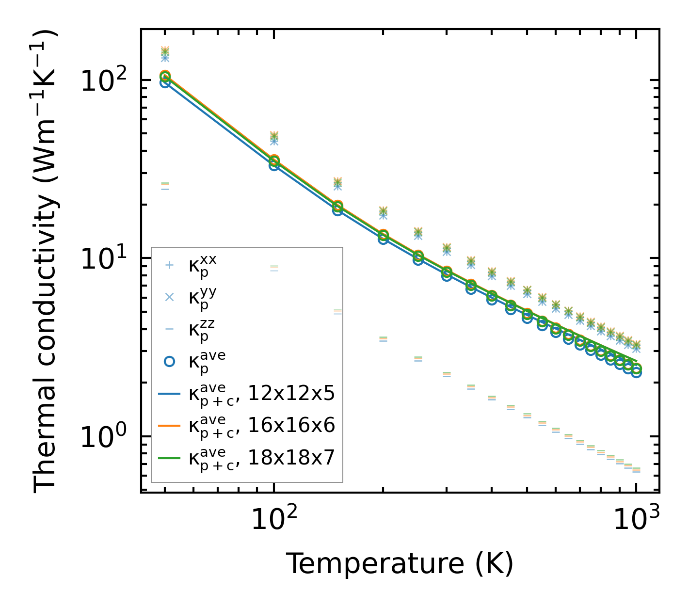
Thermal conductivity

3-phonon (LASSO) — q-mesh: 18x18x7, supercell: 3x3x2

../../_images/fig_kappa7065.png

(a) Temperature-dependent lattice thermal conductivity

../../_images/fig_kappa_vs_grain_size3792.png

(b) Peierls lattice thermal conductivity w.r.t grain size

Phonon lifetime and scattering rates

../../_images/fig_lifetime3708.png

(a) Phonon lifetime due to phonon-phonon scattering

../../_images/fig_scat_rates3707.png

(b) Phonon scattering rates

Cumulative and spectral thermal conductivity

../../_images/fig_cumu_frequency3708.png

(a) Spectral and cumulative thermal conductivity w.r.t frequency

../../_images/fig_cumu_mfp3707.png

(b) Spectral and cumulative thermal conductivity w.r.t MFP

Force constants

../../_images/fig_fc29171.png

(a) Force constants w.r.t atomic distance

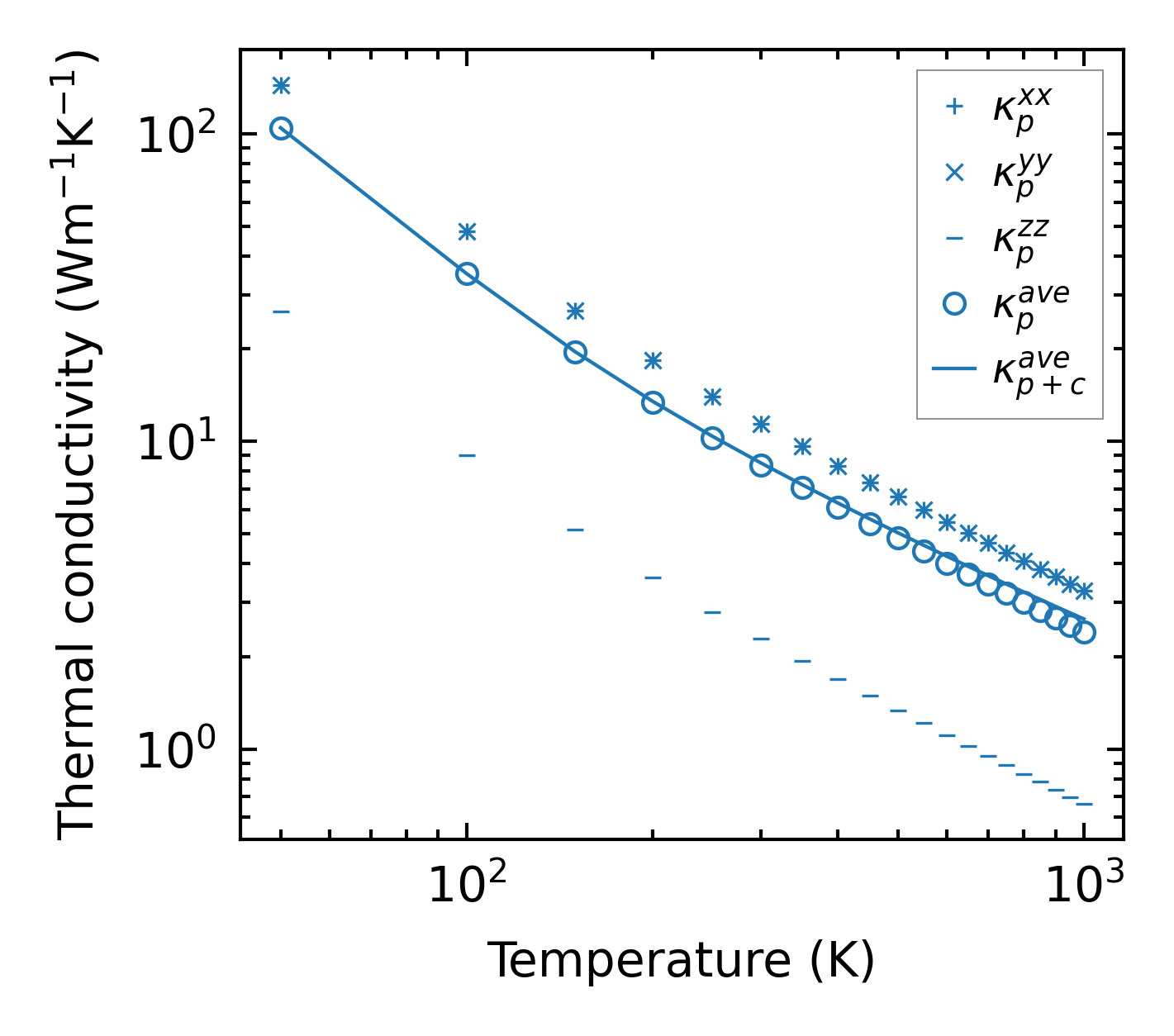
Summary

../../_images/fig_kappa7066.png

(a) Temperature-dependent lattice thermal conductivity

../../_images/fig_times16384.png

(b) Computation time