mp-1215909/YBiO2F2/anharm

Harmonic properties

../../_images/fig_bandos_pr15195.png

(a) Phonon dispersion with participation ratio and DOS

../../_images/fig_thermo15194.png

(b) Thermodynamic properties

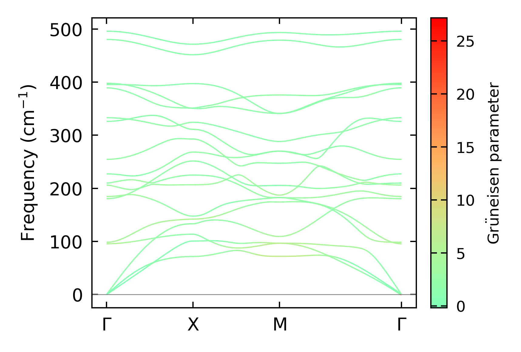
Grüneisen parameters

../../_images/fig_gru_all6535.png

(a) Grüneisen parameters

../../_images/fig_gruneisen6535.png

(b) Phonon dispersion with Grüneisen parameters

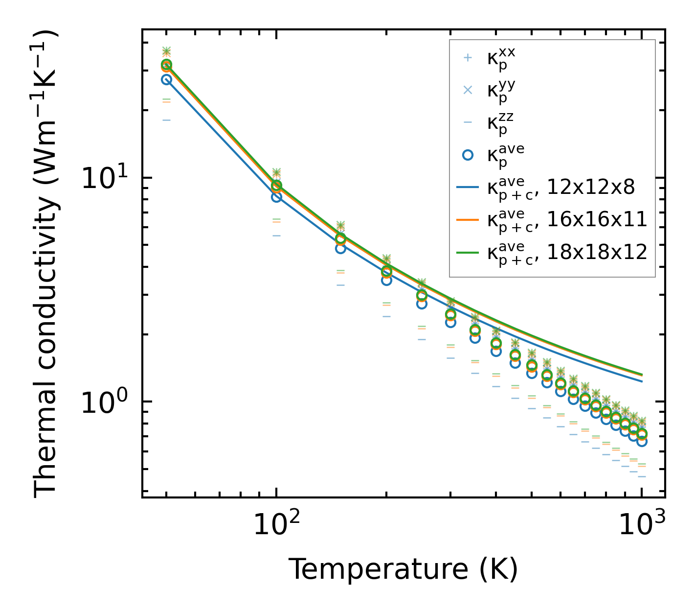
Thermal conductivity

3-phonon (LASSO) — q-mesh: 18x18x12, supercell: 3x3x2

../../_images/fig_kappa12298.png

(a) Temperature-dependent lattice thermal conductivity

../../_images/fig_kappa_vs_grain_size6612.png

(b) Peierls lattice thermal conductivity w.r.t grain size

Phonon lifetime and scattering rates

../../_images/fig_lifetime6469.png

(a) Phonon lifetime due to phonon-phonon scattering

../../_images/fig_scat_rates6468.png

(b) Phonon scattering rates

Cumulative and spectral thermal conductivity

../../_images/fig_cumu_frequency6469.png

(a) Spectral and cumulative thermal conductivity w.r.t frequency

../../_images/fig_cumu_mfp6468.png

(b) Spectral and cumulative thermal conductivity w.r.t MFP

Force constants

../../_images/fig_fc214807.png

(a) Force constants w.r.t atomic distance

Summary

../../_images/fig_kappa12299.png

(a) Temperature-dependent lattice thermal conductivity

../../_images/fig_times25146.png

(b) Computation time