mp-1215816/Zn2InCuSe4/anharm

Harmonic properties

../../_images/fig_bandos_pr15190.png

(a) Phonon dispersion with participation ratio and DOS

../../_images/fig_thermo15189.png

(b) Thermodynamic properties

Grüneisen parameters

../../_images/fig_gru_all6530.png

(a) Grüneisen parameters

../../_images/fig_gruneisen6530.png

(b) Phonon dispersion with Grüneisen parameters

Thermal conductivity

3-phonon (LASSO) — q-mesh: 12x12x12, supercell: 2x2x2

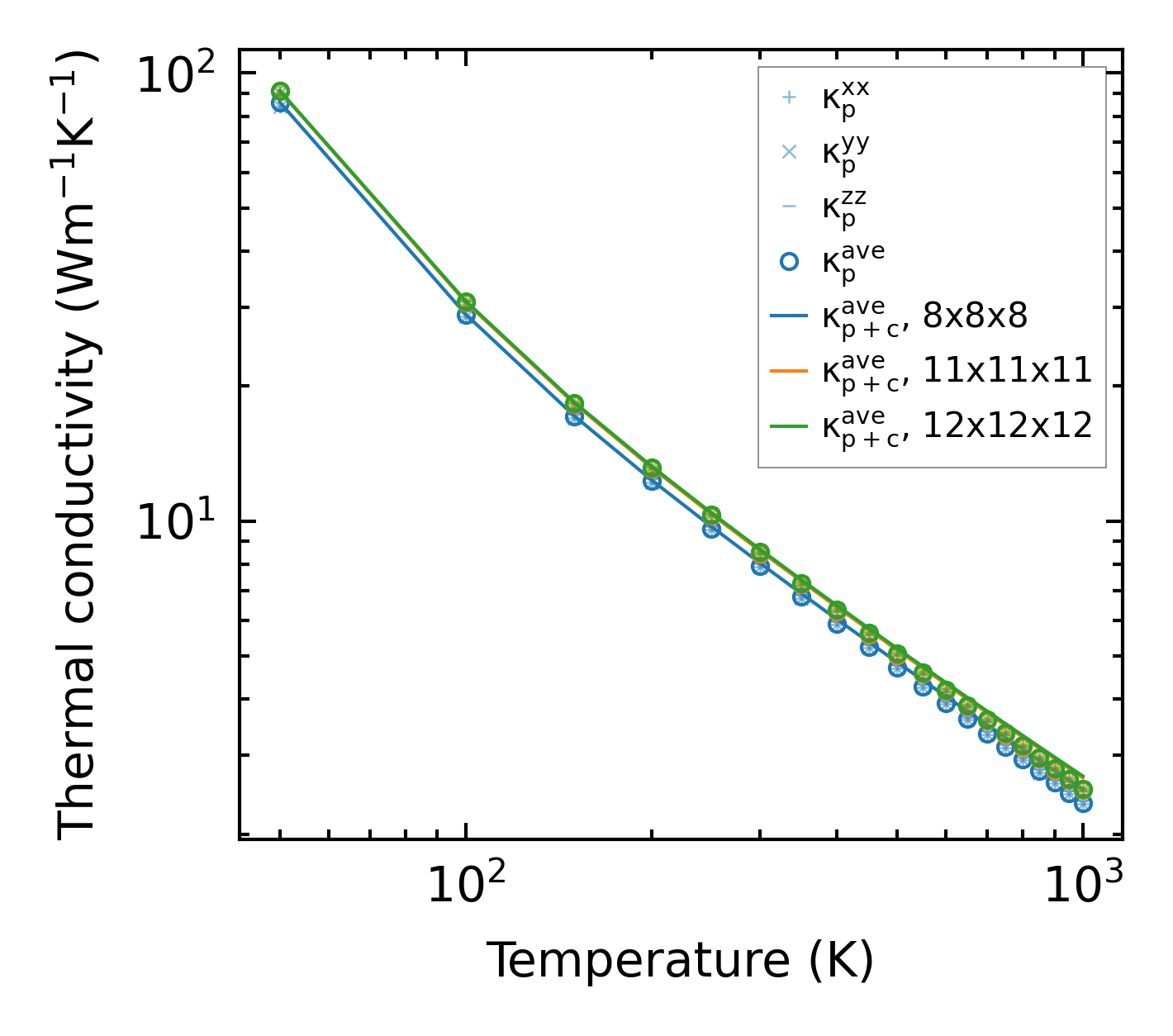
../../_images/fig_kappa12290.png

(a) Temperature-dependent lattice thermal conductivity

../../_images/fig_kappa_vs_grain_size6607.png

(b) Peierls lattice thermal conductivity w.r.t grain size

Phonon lifetime and scattering rates

../../_images/fig_lifetime6464.png

(a) Phonon lifetime due to phonon-phonon scattering

../../_images/fig_scat_rates6463.png

(b) Phonon scattering rates

Cumulative and spectral thermal conductivity

../../_images/fig_cumu_frequency6464.png

(a) Spectral and cumulative thermal conductivity w.r.t frequency

../../_images/fig_cumu_mfp6463.png

(b) Spectral and cumulative thermal conductivity w.r.t MFP

Force constants

../../_images/fig_fc214802.png

(a) Force constants w.r.t atomic distance

Summary

../../_images/fig_kappa12291.png

(a) Temperature-dependent lattice thermal conductivity

../../_images/fig_times25136.png

(b) Computation time