mp-1215863-2/YbEr2Se4/anharm

Equation of state

../../_images/fig_bm7550.png

(a) Equation of state

Harmonic properties

../../_images/fig_bandos_pr15192.png

(a) Phonon dispersion with participation ratio and DOS

../../_images/fig_bandos19572.png

(b) Phonon dispersion and DOS

../../_images/fig_thermo15191.png

(c) Thermodynamic properties

Grüneisen parameters

../../_images/fig_gru_all6532.png

(a) Grüneisen parameters

../../_images/fig_gruneisen6532.png

(b) Phonon dispersion with Grüneisen parameters

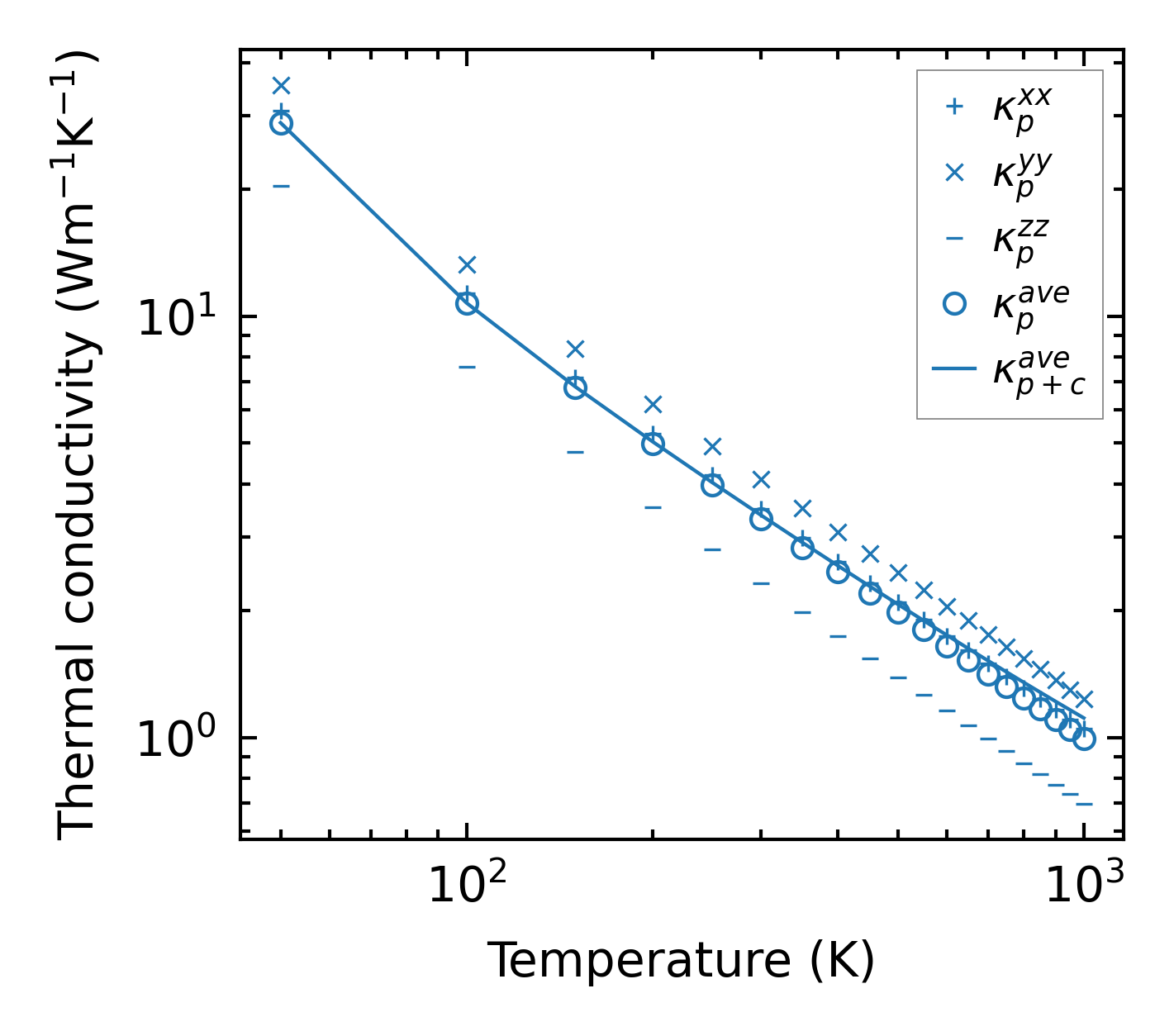
Thermal conductivity

3-phonon (LASSO), supercell 3x4x2 — q-mesh: 10x18x10, supercell: 3x4x2

../../_images/fig_kappa12293.png

(a) Temperature-dependent lattice thermal conductivity

../../_images/fig_kappa_vs_grain_size6609.png

(b) Peierls lattice thermal conductivity w.r.t grain size

Phonon lifetime and scattering rates

../../_images/fig_lifetime6466.png

(a) Phonon lifetime due to phonon-phonon scattering

../../_images/fig_scat_rates6465.png

(b) Phonon scattering rates

Cumulative and spectral thermal conductivity

../../_images/fig_cumu_frequency6466.png

(a) Spectral and cumulative thermal conductivity w.r.t frequency

../../_images/fig_cumu_mfp6465.png

(b) Spectral and cumulative thermal conductivity w.r.t MFP

Force constants

../../_images/fig_fc214804.png

(a) Force constants w.r.t atomic distance

Summary

../../_images/fig_times25143.png

(a) Computation time