mp-1215896/YPaO4/anharm

Harmonic properties

../../_images/fig_bandos_pr15193.png

(a) Phonon dispersion with participation ratio and DOS

../../_images/fig_thermo15192.png

(b) Thermodynamic properties

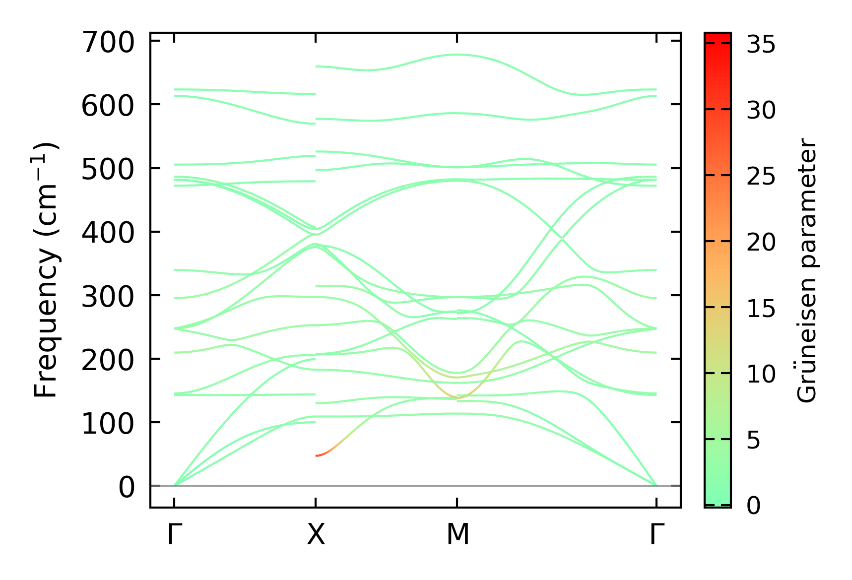
Grüneisen parameters

../../_images/fig_gru_all6533.png

(a) Grüneisen parameters

../../_images/fig_gruneisen6533.png

(b) Phonon dispersion with Grüneisen parameters

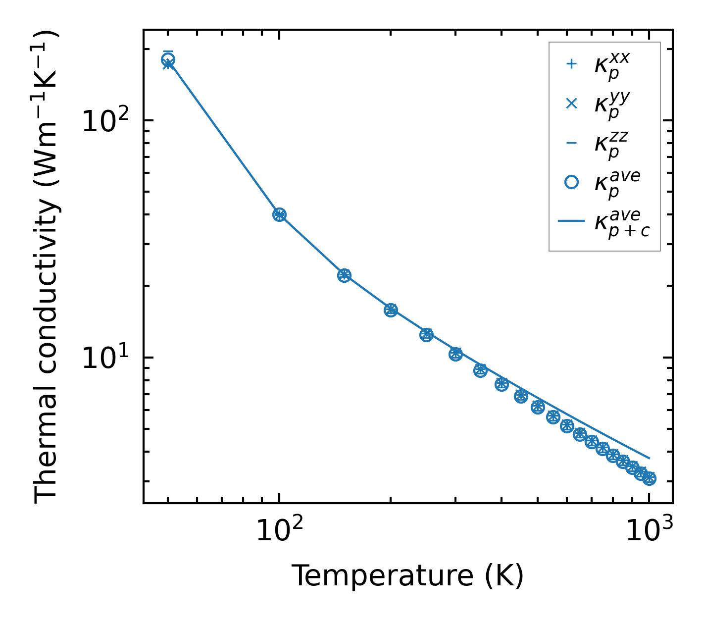
Thermal conductivity

3-phonon (LASSO) — q-mesh: 19x19x13, supercell: 3x3x2

../../_images/fig_kappa12294.png

(a) Temperature-dependent lattice thermal conductivity

../../_images/fig_kappa_vs_grain_size6610.png

(b) Peierls lattice thermal conductivity w.r.t grain size

Phonon lifetime and scattering rates

../../_images/fig_lifetime6467.png

(a) Phonon lifetime due to phonon-phonon scattering

../../_images/fig_scat_rates6466.png

(b) Phonon scattering rates

Cumulative and spectral thermal conductivity

../../_images/fig_cumu_frequency6467.png

(a) Spectral and cumulative thermal conductivity w.r.t frequency

../../_images/fig_cumu_mfp6466.png

(b) Spectral and cumulative thermal conductivity w.r.t MFP

Force constants

../../_images/fig_fc214805.png

(a) Force constants w.r.t atomic distance

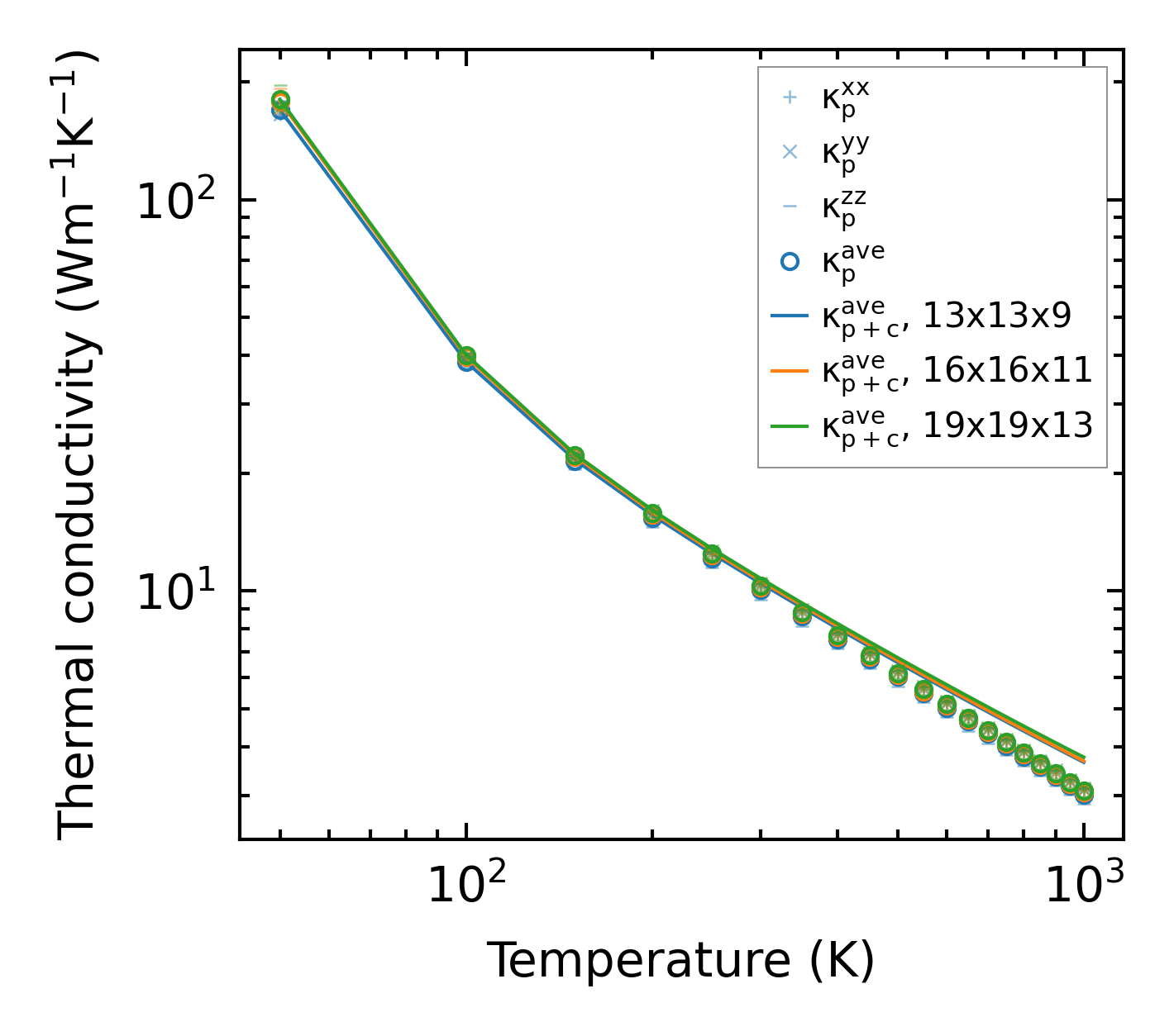
Summary

../../_images/fig_kappa12295.png

(a) Temperature-dependent lattice thermal conductivity

../../_images/fig_times25144.png

(b) Computation time