mp-1215443-2/ZnGaPS/anharm

Equation of state

../../_images/fig_bm7582.png

(a) Equation of state

Harmonic properties

../../_images/fig_bandos_pr15506.png

(a) Phonon dispersion with participation ratio and DOS

../../_images/fig_bandos19890.png

(b) Phonon dispersion and DOS

../../_images/fig_thermo15505.png

(c) Thermodynamic properties

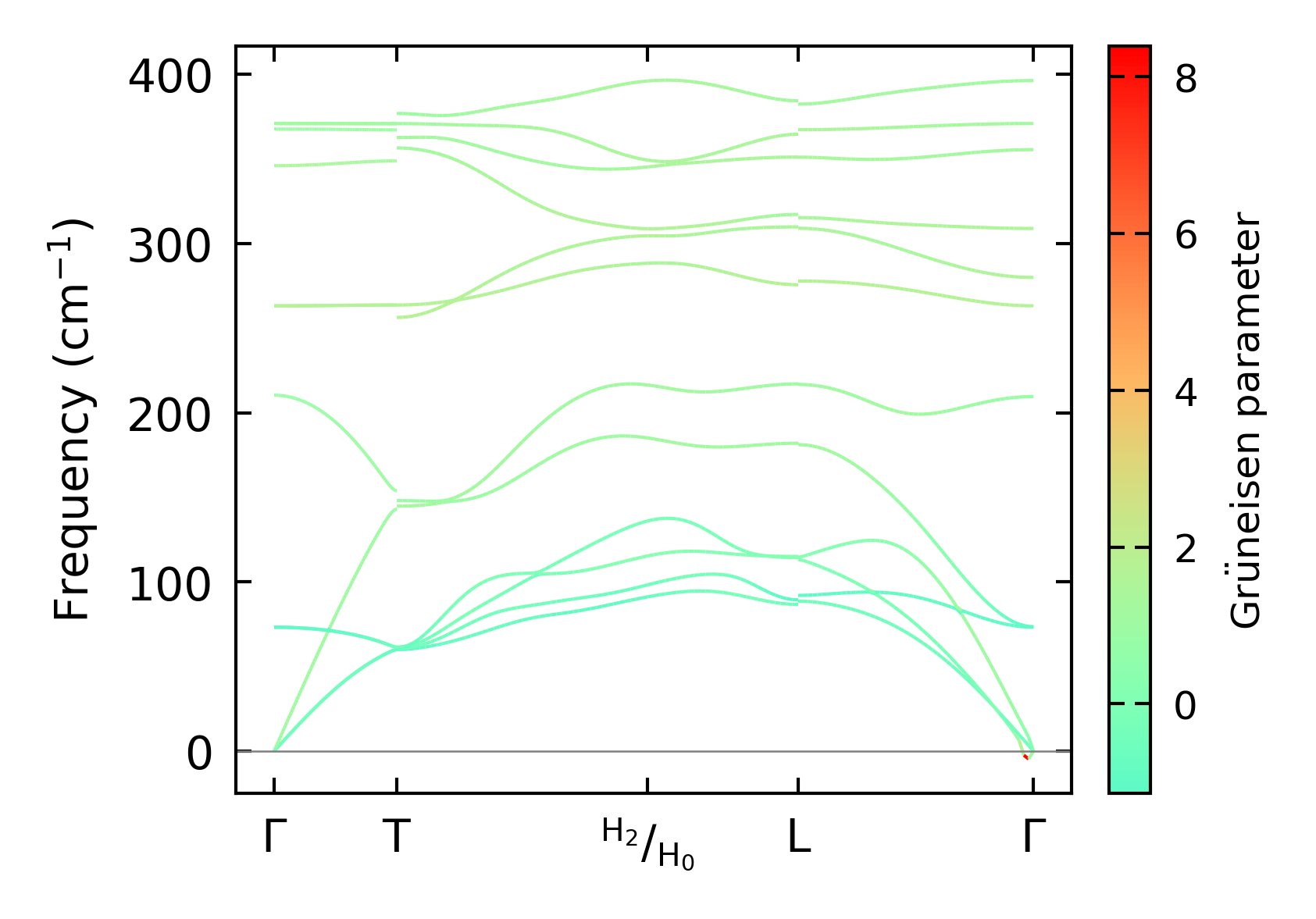
Grüneisen parameters

../../_images/fig_gru_all6711.png

(a) Grüneisen parameters

../../_images/fig_gruneisen6711.png

(b) Phonon dispersion with Grüneisen parameters

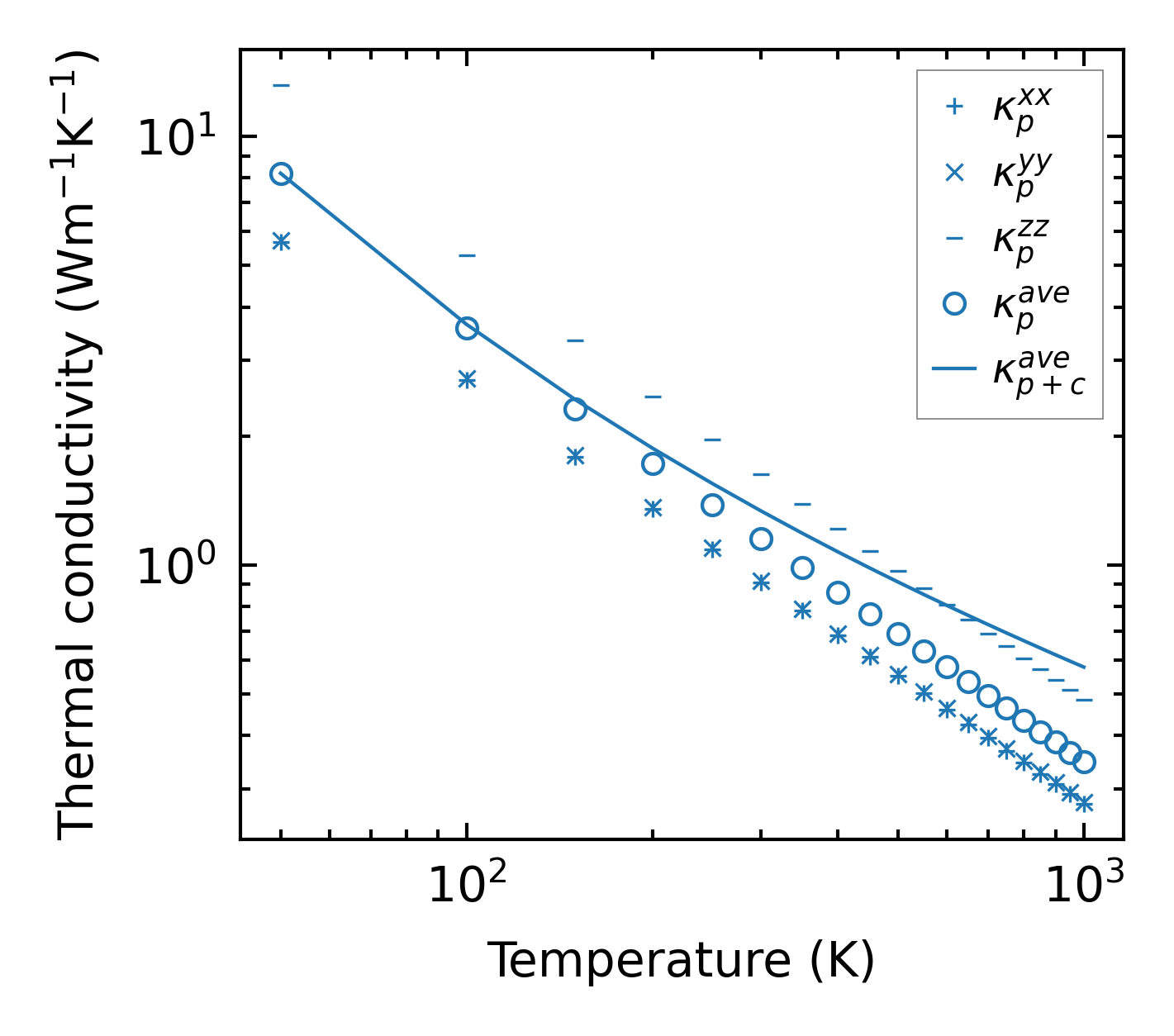
Thermal conductivity

3-phonon (LASSO), supercell 4x4x1 — q-mesh: 16x16x16, supercell: 4x4x1

../../_images/fig_kappa12639.png

(a) Temperature-dependent lattice thermal conductivity

../../_images/fig_kappa_vs_grain_size6790.png

(b) Peierls lattice thermal conductivity w.r.t grain size

Phonon lifetime and scattering rates

../../_images/fig_lifetime6645.png

(a) Phonon lifetime due to phonon-phonon scattering

../../_images/fig_scat_rates6644.png

(b) Phonon scattering rates

Cumulative and spectral thermal conductivity

../../_images/fig_cumu_frequency6645.png

(a) Spectral and cumulative thermal conductivity w.r.t frequency

../../_images/fig_cumu_mfp6644.png

(b) Spectral and cumulative thermal conductivity w.r.t MFP

Force constants

../../_images/fig_fc215101.png

(a) Force constants w.r.t atomic distance

Summary

../../_images/fig_times25622.png

(a) Computation time