mp-1215562/Zn3CdO4/anharm

Harmonic properties

../../_images/fig_bandos_pr15511.png

(a) Phonon dispersion with participation ratio and DOS

../../_images/fig_thermo15510.png

(b) Thermodynamic properties

Grüneisen parameters

../../_images/fig_gru_all6715.png

(a) Grüneisen parameters

../../_images/fig_gruneisen6715.png

(b) Phonon dispersion with Grüneisen parameters

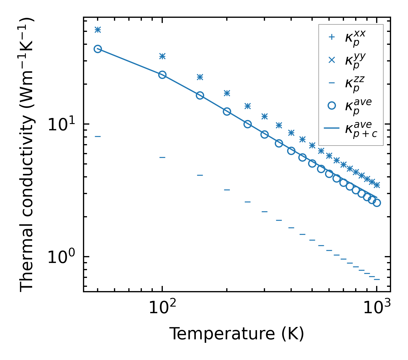
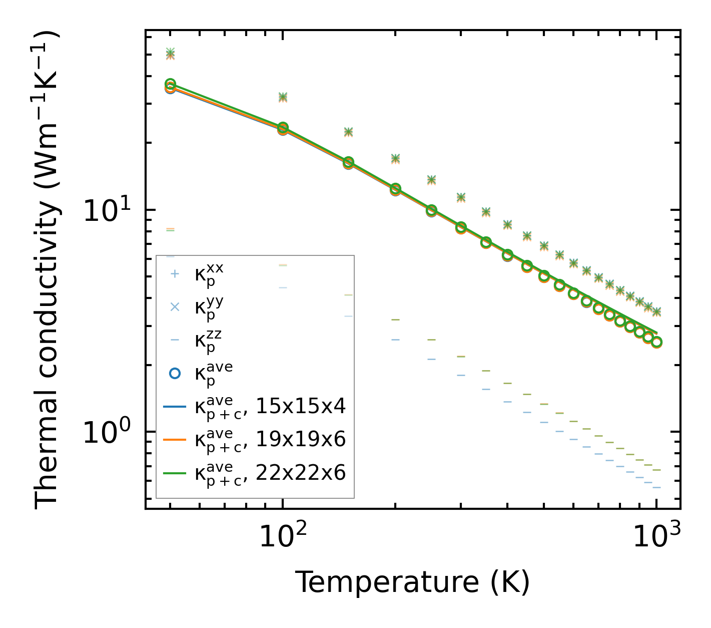
Thermal conductivity

3-phonon (LASSO) — q-mesh: 22x22x6, supercell: 4x4x1

../../_images/fig_kappa12644.png

(a) Temperature-dependent lattice thermal conductivity

../../_images/fig_kappa_vs_grain_size6794.png

(b) Peierls lattice thermal conductivity w.r.t grain size

Phonon lifetime and scattering rates

../../_images/fig_lifetime6649.png

(a) Phonon lifetime due to phonon-phonon scattering

../../_images/fig_scat_rates6648.png

(b) Phonon scattering rates

Cumulative and spectral thermal conductivity

../../_images/fig_cumu_frequency6649.png

(a) Spectral and cumulative thermal conductivity w.r.t frequency

../../_images/fig_cumu_mfp6648.png

(b) Spectral and cumulative thermal conductivity w.r.t MFP

Force constants

../../_images/fig_fc215106.png

(a) Force constants w.r.t atomic distance

Summary

../../_images/fig_kappa12645.png

(a) Temperature-dependent lattice thermal conductivity

../../_images/fig_times25633.png

(b) Computation time