mp-1112596/Cs2NaAsF6/anharm

Harmonic properties

../../_images/fig_bandos_pr16416.png

(a) Phonon dispersion with participation ratio and DOS

../../_images/fig_thermo16415.png

(b) Thermodynamic properties

Grüneisen parameters

../../_images/fig_gru_all7097.png

(a) Grüneisen parameters

../../_images/fig_gruneisen7097.png

(b) Phonon dispersion with Grüneisen parameters

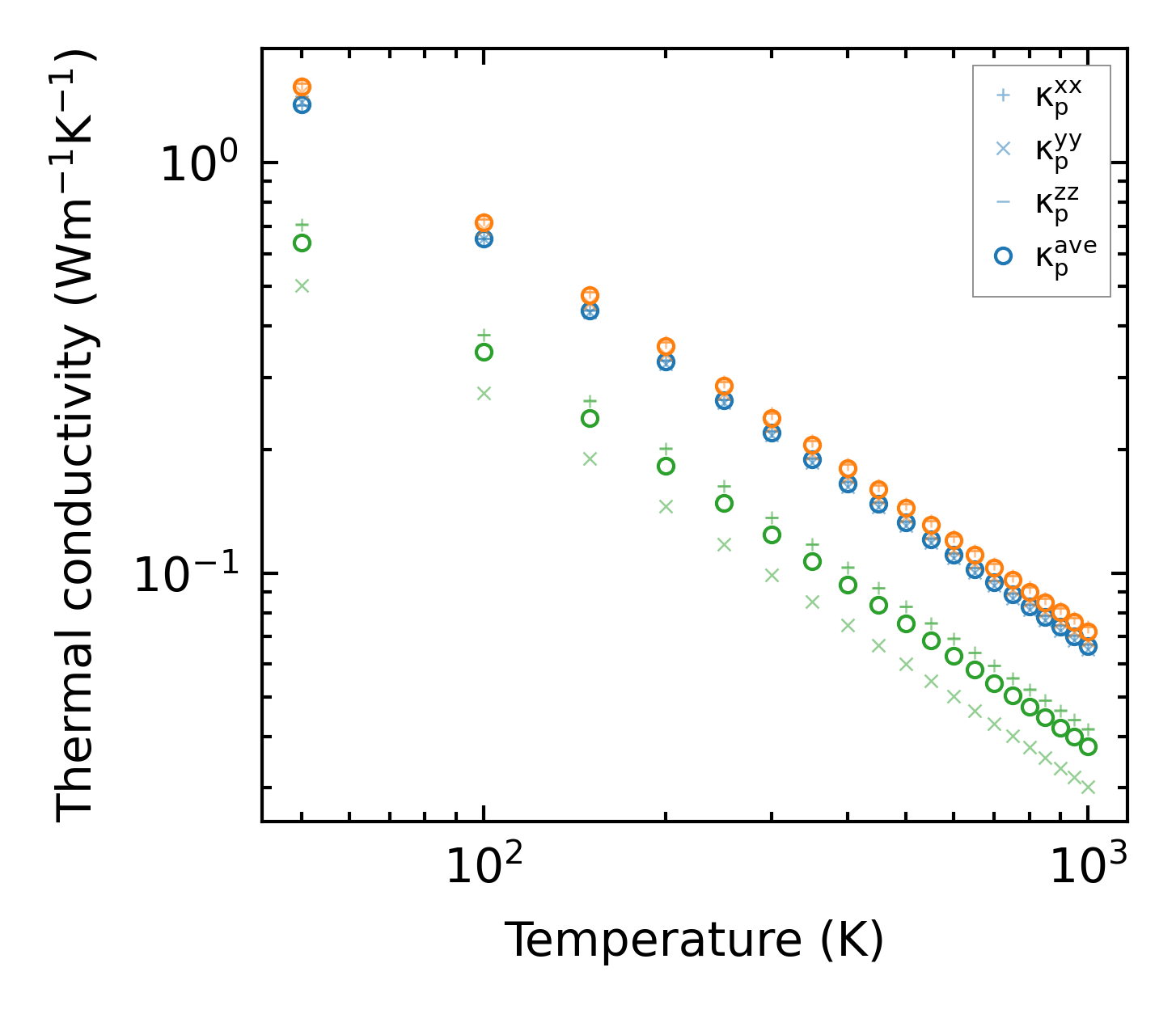
Thermal conductivity

3-phonon — q-mesh: 12x12x12, supercell: 1x1x1

../../_images/fig_kappa13374.png

(a) Temperature-dependent lattice thermal conductivity

../../_images/fig_kappa_vs_grain_size7179.png

(b) Peierls lattice thermal conductivity w.r.t grain size

Phonon lifetime and scattering rates

../../_images/fig_lifetime7031.png

(a) Phonon lifetime due to phonon-phonon scattering

../../_images/fig_scat_rates7030.png

(b) Phonon scattering rates

Cumulative and spectral thermal conductivity

../../_images/fig_cumu_frequency7031.png

(a) Spectral and cumulative thermal conductivity w.r.t frequency

../../_images/fig_cumu_mfp7030.png

(b) Spectral and cumulative thermal conductivity w.r.t MFP

Force constants

../../_images/fig_fc3416.png

(a) Force constants w.r.t atomic distance

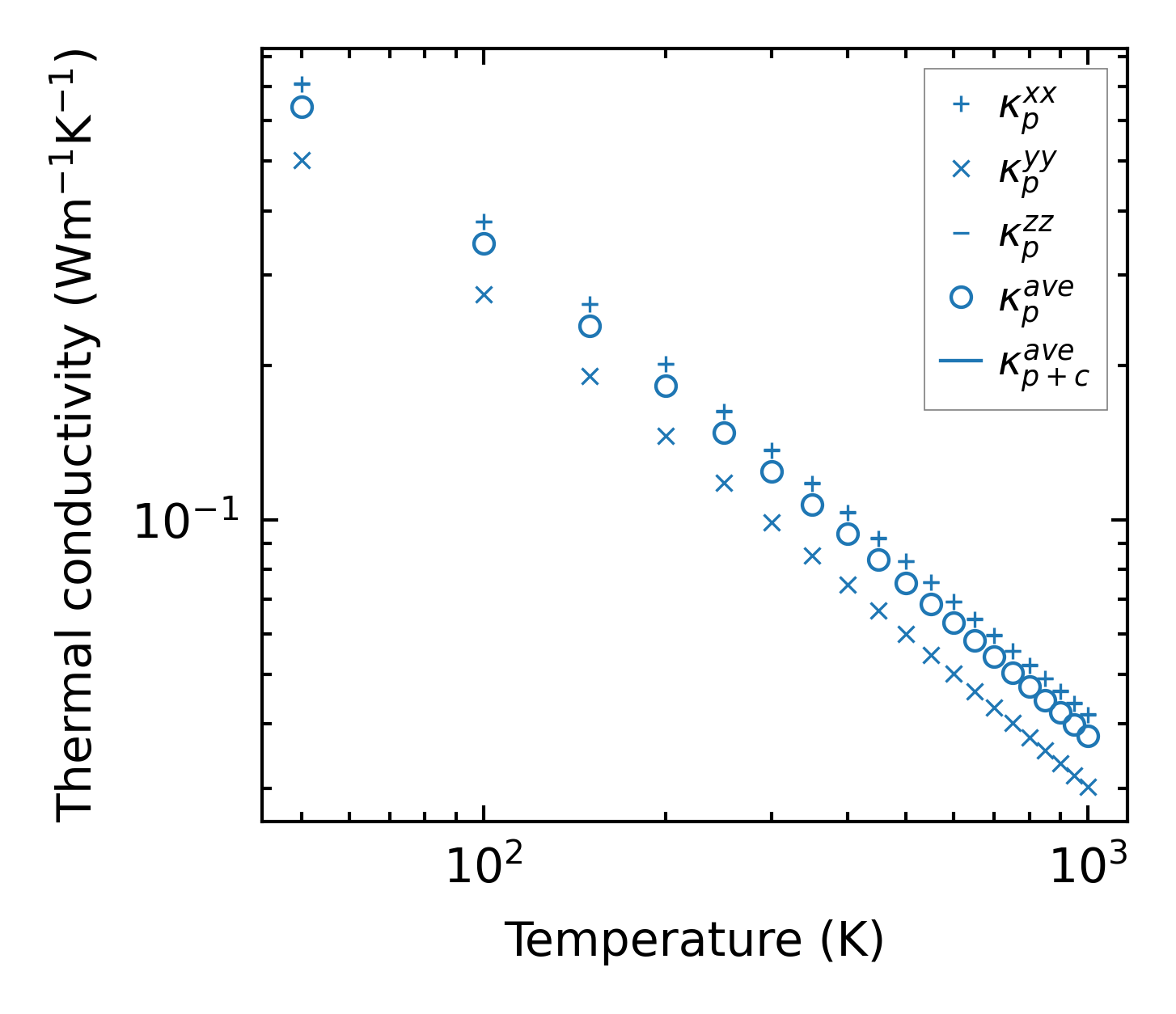
Summary

../../_images/fig_kappa13375.png

(a) Temperature-dependent lattice thermal conductivity

../../_images/fig_times26917.png

(b) Computation time