mp-1112594/Cs2RhAuF6/anharm

Harmonic properties

../../_images/fig_bandos_pr16414.png

(a) Phonon dispersion with participation ratio and DOS

../../_images/fig_thermo16413.png

(b) Thermodynamic properties

Grüneisen parameters

../../_images/fig_gru_all7096.png

(a) Grüneisen parameters

../../_images/fig_gruneisen7096.png

(b) Phonon dispersion with Grüneisen parameters

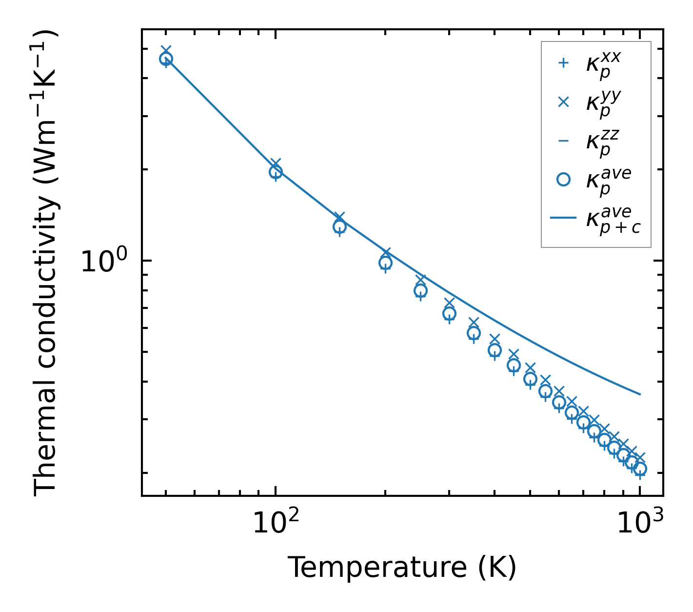
Thermal conductivity

3-phonon — q-mesh: 12x12x12, supercell: 1x1x1

../../_images/fig_kappa13372.png

(a) Temperature-dependent lattice thermal conductivity

../../_images/fig_kappa_vs_grain_size7178.png

(b) Peierls lattice thermal conductivity w.r.t grain size

Phonon lifetime and scattering rates

../../_images/fig_lifetime7030.png

(a) Phonon lifetime due to phonon-phonon scattering

../../_images/fig_scat_rates7029.png

(b) Phonon scattering rates

Cumulative and spectral thermal conductivity

../../_images/fig_cumu_frequency7030.png

(a) Spectral and cumulative thermal conductivity w.r.t frequency

../../_images/fig_cumu_mfp7029.png

(b) Spectral and cumulative thermal conductivity w.r.t MFP

Force constants

../../_images/fig_fc3415.png

(a) Force constants w.r.t atomic distance

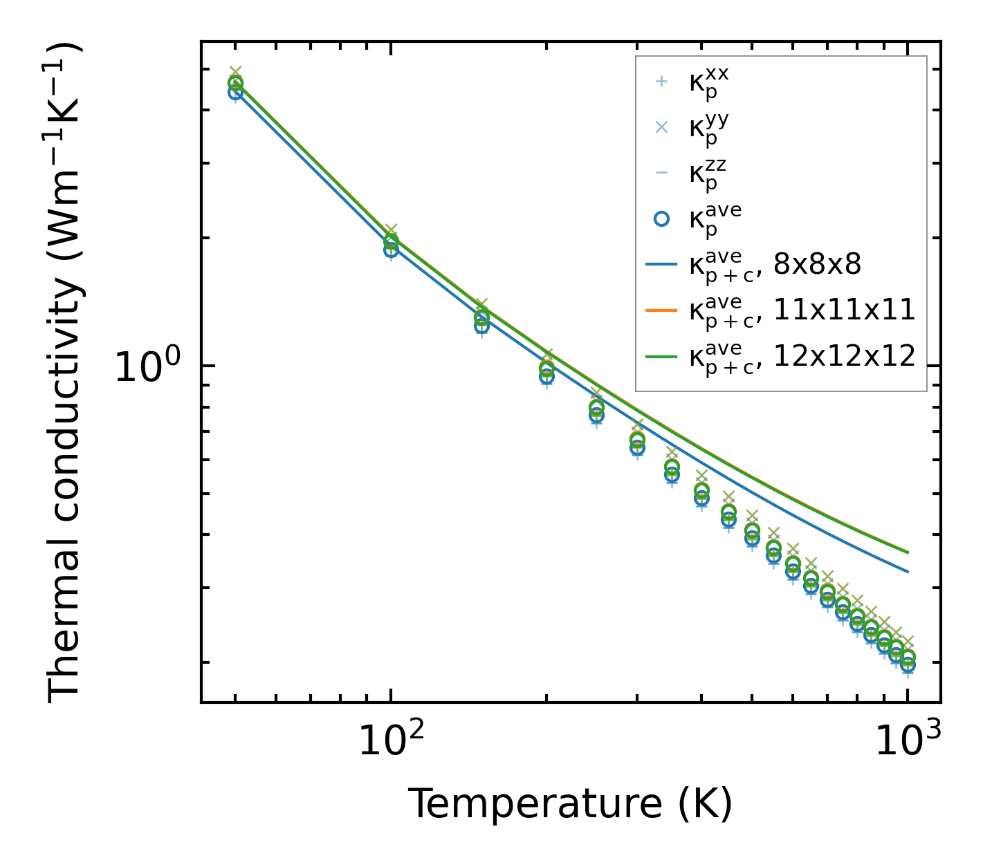
Summary

../../_images/fig_kappa13373.png

(a) Temperature-dependent lattice thermal conductivity

../../_images/fig_times26915.png

(b) Computation time