mp-1112014/Cs2NaIrF6/anharm

Harmonic properties

../../_images/fig_bandos_pr16387.png

(a) Phonon dispersion with participation ratio and DOS

../../_images/fig_thermo16386.png

(b) Thermodynamic properties

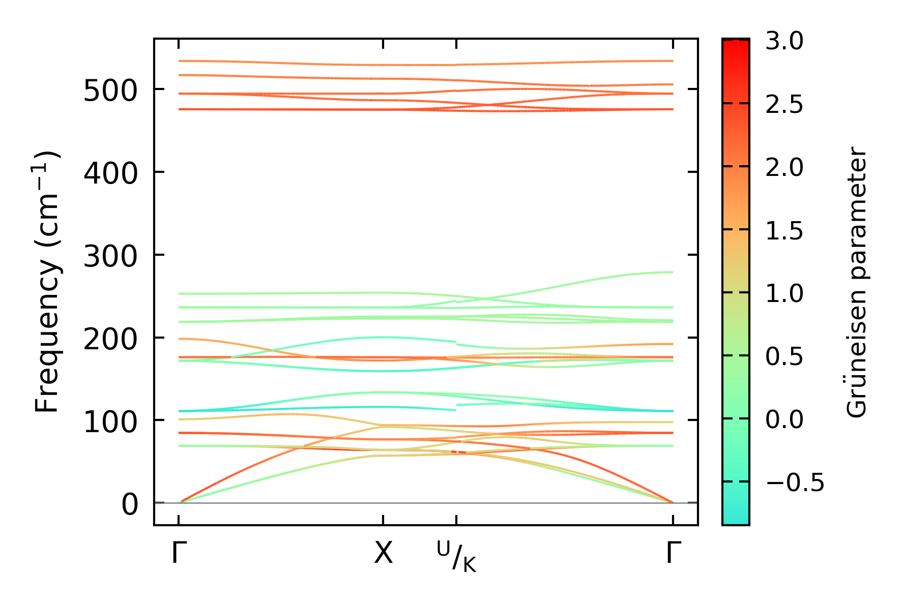
Grüneisen parameters

../../_images/fig_gru_all7092.png

(a) Grüneisen parameters

../../_images/fig_gruneisen7092.png

(b) Phonon dispersion with Grüneisen parameters

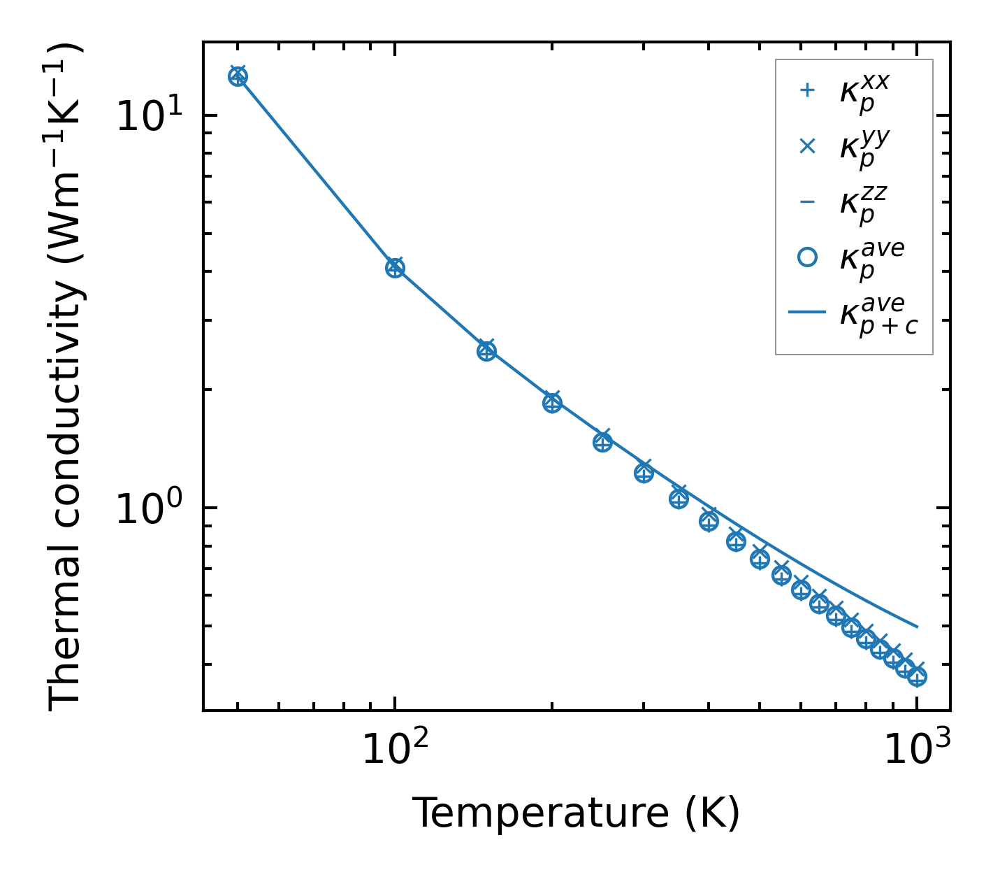
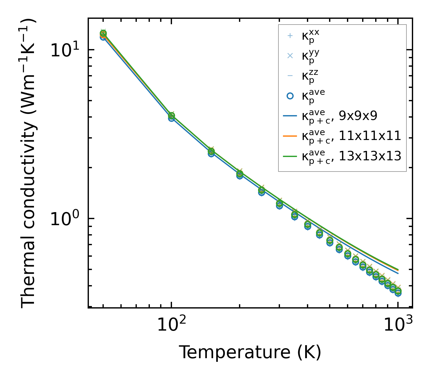
Thermal conductivity

3-phonon — q-mesh: 13x13x13, supercell: 1x1x1

../../_images/fig_kappa13364.png

(a) Temperature-dependent lattice thermal conductivity

../../_images/fig_kappa_vs_grain_size7174.png

(b) Peierls lattice thermal conductivity w.r.t grain size

Phonon lifetime and scattering rates

../../_images/fig_lifetime7026.png

(a) Phonon lifetime due to phonon-phonon scattering

../../_images/fig_scat_rates7025.png

(b) Phonon scattering rates

Cumulative and spectral thermal conductivity

../../_images/fig_cumu_frequency7026.png

(a) Spectral and cumulative thermal conductivity w.r.t frequency

../../_images/fig_cumu_mfp7025.png

(b) Spectral and cumulative thermal conductivity w.r.t MFP

Force constants

../../_images/fig_fc3413.png

(a) Force constants w.r.t atomic distance

Summary

../../_images/fig_kappa13365.png

(a) Temperature-dependent lattice thermal conductivity

../../_images/fig_times26888.png

(b) Computation time