mp-1080691/Rb2SnHgTe4/anharm

Equation of state

../../_images/fig_bm7810.png

(a) Equation of state

Harmonic properties

../../_images/fig_bandos_pr16994.png

(a) Phonon dispersion with participation ratio and DOS

../../_images/fig_bandos21303.png

(b) Phonon dispersion and DOS

../../_images/fig_thermo16993.png

(c) Thermodynamic properties

Grüneisen parameters

../../_images/fig_gru_all7446.png

(a) Grüneisen parameters

../../_images/fig_gruneisen7446.png

(b) Phonon dispersion with Grüneisen parameters

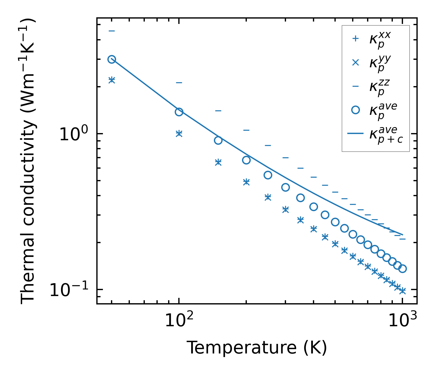
Thermal conductivity

3-phonon (LASSO) — q-mesh: 10x10x10, supercell: 2x2x2

../../_images/fig_kappa14043.png

(a) Temperature-dependent lattice thermal conductivity

../../_images/fig_kappa_vs_grain_size7533.png

(b) Peierls lattice thermal conductivity w.r.t grain size

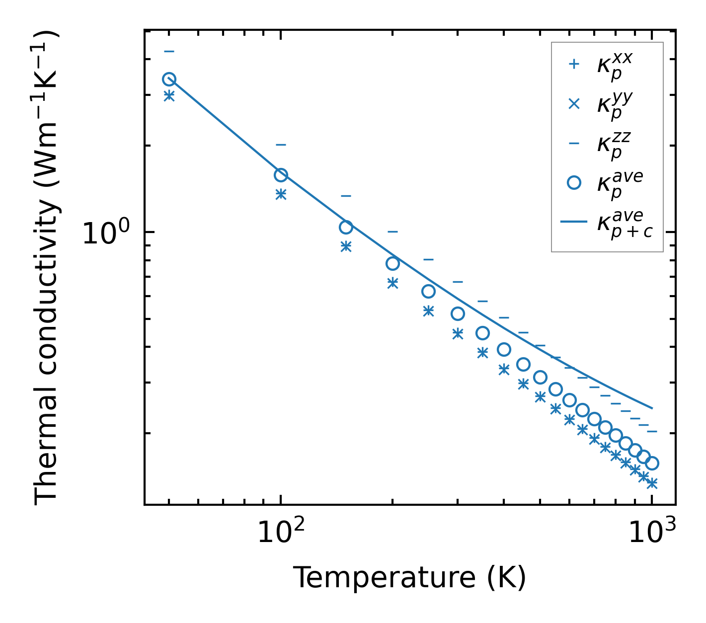
3-phonon (LASSO), supercell 2x2x3 — q-mesh: 10x10x10, supercell: 2x2x3

../../_images/fig_kappa14044.png

(a) Temperature-dependent lattice thermal conductivity

../../_images/fig_kappa_vs_grain_size7534.png

(b) Peierls lattice thermal conductivity w.r.t grain size

Phonon lifetime and scattering rates

../../_images/fig_lifetime7379.png

(a) Phonon lifetime due to phonon-phonon scattering

../../_images/fig_scat_rates7378.png

(b) Phonon scattering rates

Cumulative and spectral thermal conductivity

../../_images/fig_cumu_frequency7379.png

(a) Spectral and cumulative thermal conductivity w.r.t frequency

../../_images/fig_cumu_mfp7378.png

(b) Spectral and cumulative thermal conductivity w.r.t MFP

Force constants

../../_images/fig_fc216546.png

(a) Force constants w.r.t atomic distance

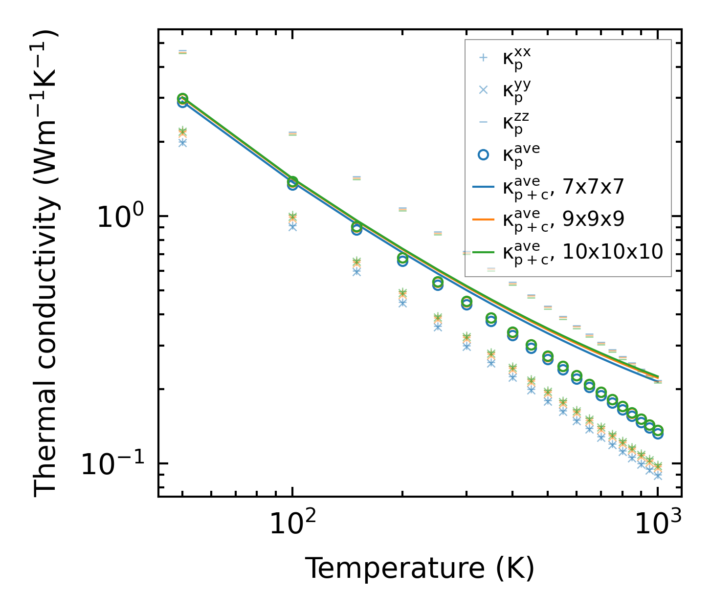
Summary

../../_images/fig_kappa14045.png

(a) Temperature-dependent lattice thermal conductivity

../../_images/fig_times27694.png

(b) Computation time