mp-1080149/YbCu2S2/anharm

Harmonic properties

../../_images/fig_bandos_pr16973.png

(a) Phonon dispersion with participation ratio and DOS

../../_images/fig_thermo16972.png

(b) Thermodynamic properties

Grüneisen parameters

../../_images/fig_gru_all7437.png

(a) Grüneisen parameters

../../_images/fig_gruneisen7437.png

(b) Phonon dispersion with Grüneisen parameters

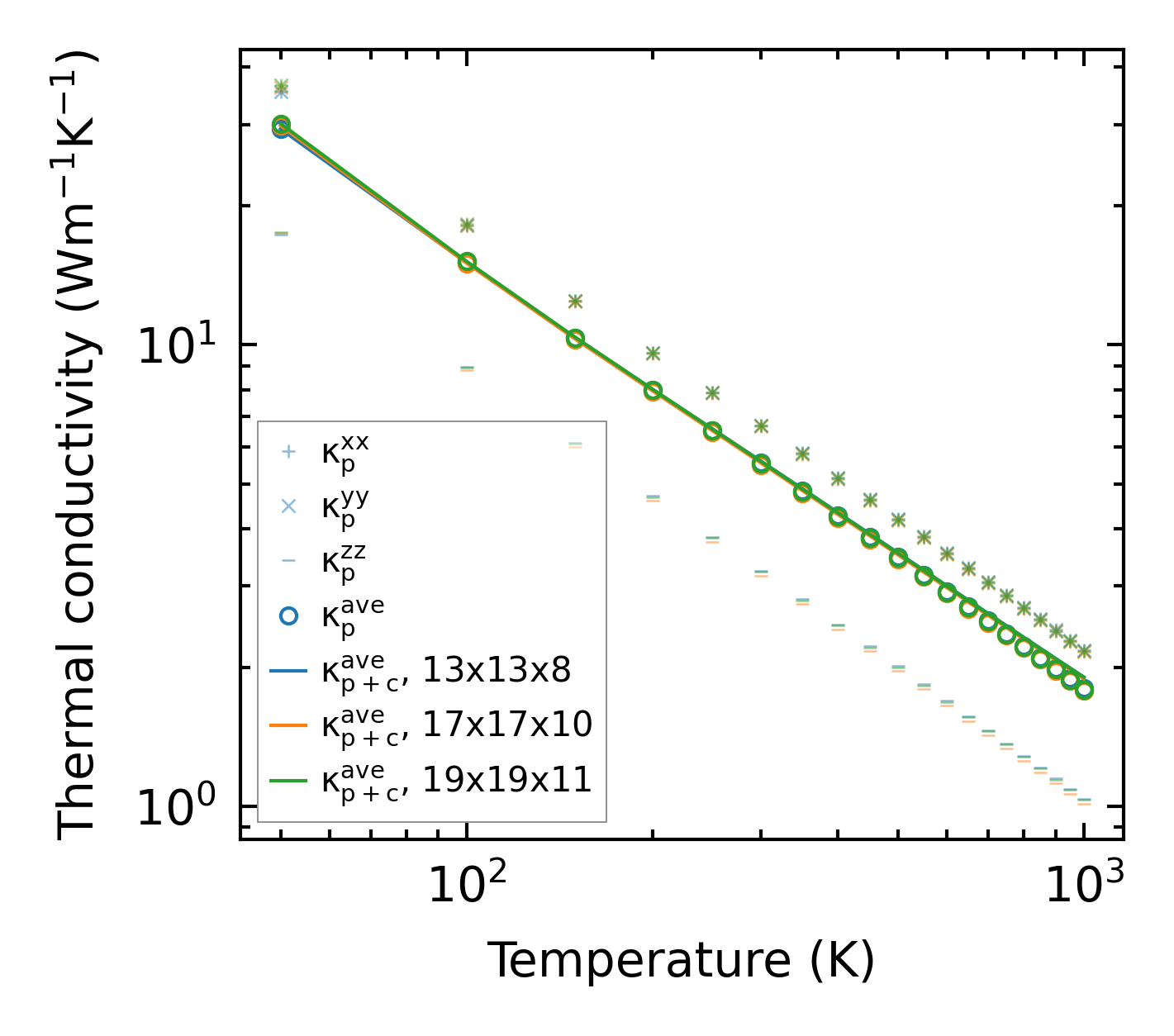
Thermal conductivity

3-phonon (LASSO) — q-mesh: 19x19x11, supercell: 3x3x2

../../_images/fig_kappa14026.png

(a) Temperature-dependent lattice thermal conductivity

../../_images/fig_kappa_vs_grain_size7524.png

(b) Peierls lattice thermal conductivity w.r.t grain size

Phonon lifetime and scattering rates

../../_images/fig_lifetime7370.png

(a) Phonon lifetime due to phonon-phonon scattering

../../_images/fig_scat_rates7369.png

(b) Phonon scattering rates

Cumulative and spectral thermal conductivity

../../_images/fig_cumu_frequency7370.png

(a) Spectral and cumulative thermal conductivity w.r.t frequency

../../_images/fig_cumu_mfp7369.png

(b) Spectral and cumulative thermal conductivity w.r.t MFP

Force constants

../../_images/fig_fc216525.png

(a) Force constants w.r.t atomic distance

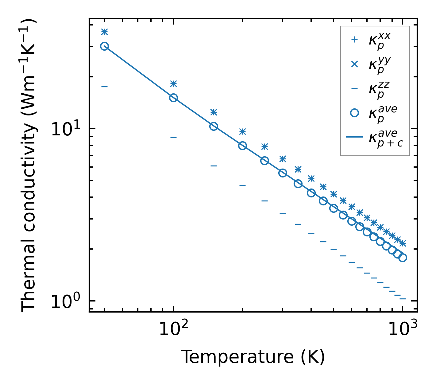
Summary

../../_images/fig_kappa14027.png

(a) Temperature-dependent lattice thermal conductivity

../../_images/fig_times27661.png

(b) Computation time