mp-1080439/P4Ru/anharm

Harmonic properties

../../_images/fig_bandos_pr16988.png

(a) Phonon dispersion with participation ratio and DOS

../../_images/fig_thermo16987.png

(b) Thermodynamic properties

Grüneisen parameters

../../_images/fig_gru_all7444.png

(a) Grüneisen parameters

../../_images/fig_gruneisen7444.png

(b) Phonon dispersion with Grüneisen parameters

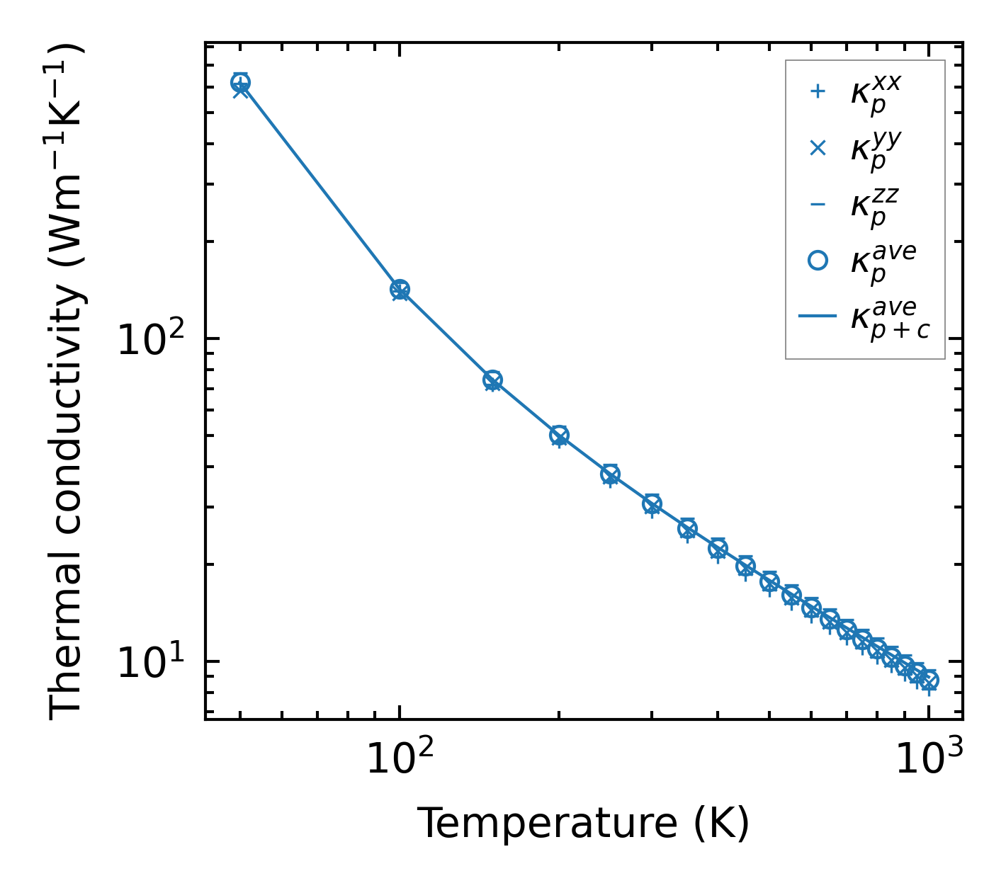
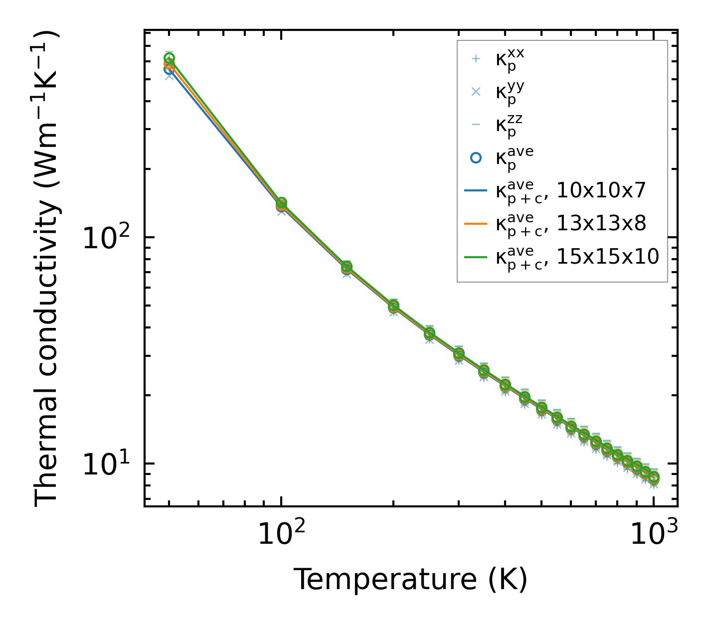
Thermal conductivity

3-phonon (LASSO) — q-mesh: 15x15x10, supercell: 2x3x2

../../_images/fig_kappa14039.png

(a) Temperature-dependent lattice thermal conductivity

../../_images/fig_kappa_vs_grain_size7531.png

(b) Peierls lattice thermal conductivity w.r.t grain size

Phonon lifetime and scattering rates

../../_images/fig_lifetime7377.png

(a) Phonon lifetime due to phonon-phonon scattering

../../_images/fig_scat_rates7376.png

(b) Phonon scattering rates

Cumulative and spectral thermal conductivity

../../_images/fig_cumu_frequency7377.png

(a) Spectral and cumulative thermal conductivity w.r.t frequency

../../_images/fig_cumu_mfp7376.png

(b) Spectral and cumulative thermal conductivity w.r.t MFP

Force constants

../../_images/fig_fc216540.png

(a) Force constants w.r.t atomic distance

Summary

../../_images/fig_kappa14040.png

(a) Temperature-dependent lattice thermal conductivity

../../_images/fig_times27685.png

(b) Computation time