mp-1080691-2/Rb2SnHgTe4/anharm

Harmonic properties

../../_images/fig_bandos_pr16995.png

(a) Phonon dispersion with participation ratio and DOS

../../_images/fig_bandos21304.png

(b) Phonon dispersion and DOS

../../_images/fig_thermo16994.png

(c) Thermodynamic properties

Grüneisen parameters

../../_images/fig_gru_all7447.png

(a) Grüneisen parameters

../../_images/fig_gruneisen7447.png

(b) Phonon dispersion with Grüneisen parameters

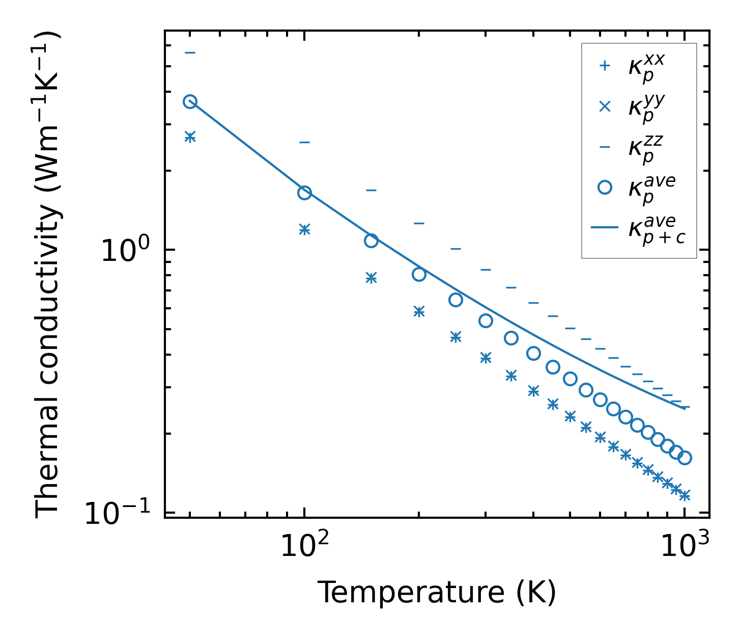
Thermal conductivity

3-phonon (LASSO) — q-mesh: 10x10x10, supercell: 2x2x2

../../_images/fig_kappa14046.png

(a) Temperature-dependent lattice thermal conductivity

../../_images/fig_kappa_vs_grain_size7535.png

(b) Peierls lattice thermal conductivity w.r.t grain size

Phonon lifetime and scattering rates

../../_images/fig_lifetime7380.png

(a) Phonon lifetime due to phonon-phonon scattering

../../_images/fig_scat_rates7379.png

(b) Phonon scattering rates

Cumulative and spectral thermal conductivity

../../_images/fig_cumu_frequency7380.png

(a) Spectral and cumulative thermal conductivity w.r.t frequency

../../_images/fig_cumu_mfp7379.png

(b) Spectral and cumulative thermal conductivity w.r.t MFP

Force constants

../../_images/fig_fc216547.png

(a) Force constants w.r.t atomic distance

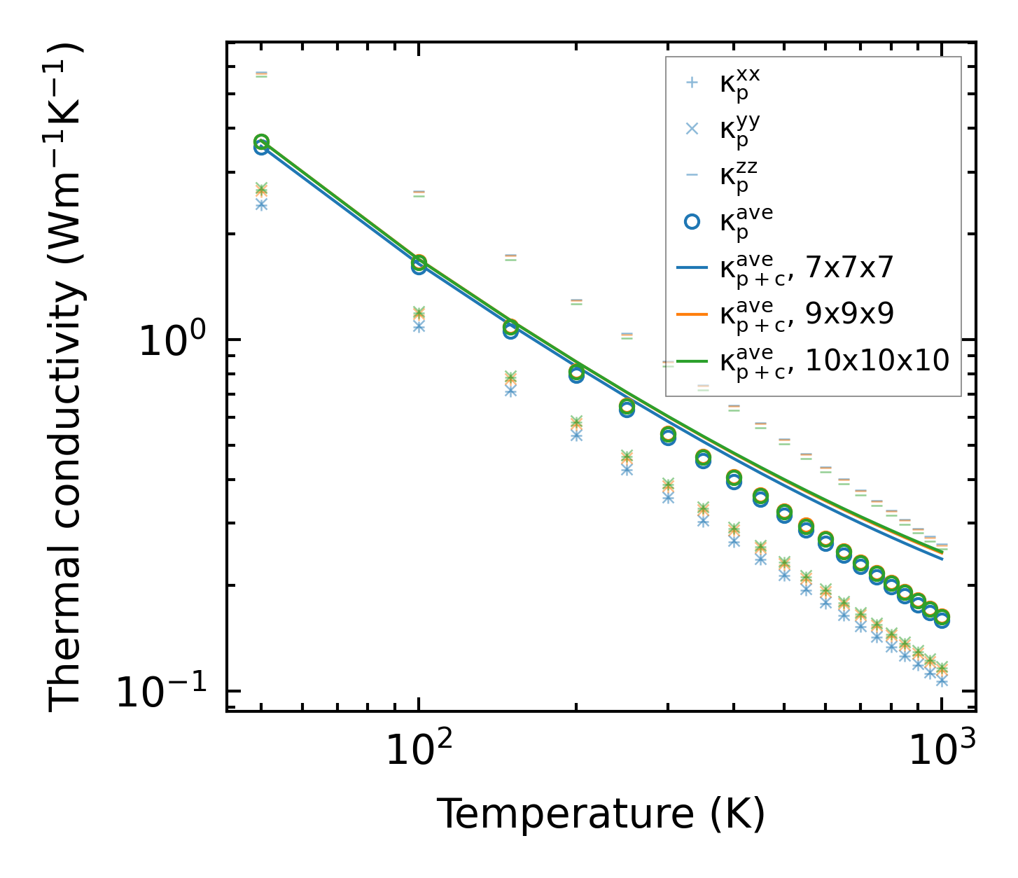
Summary

../../_images/fig_kappa14047.png

(a) Temperature-dependent lattice thermal conductivity

../../_images/fig_times27695.png

(b) Computation time