mp-1080281/CeSe2/anharm

Harmonic properties

../../_images/fig_bandos_pr16982.png

(a) Phonon dispersion with participation ratio and DOS

../../_images/fig_thermo16981.png

(b) Thermodynamic properties

Grüneisen parameters

../../_images/fig_gru_all7440.png

(a) Grüneisen parameters

../../_images/fig_gruneisen7440.png

(b) Phonon dispersion with Grüneisen parameters

Thermal conductivity

3-phonon (LASSO) — q-mesh: 16x16x16, supercell: 3x4x2

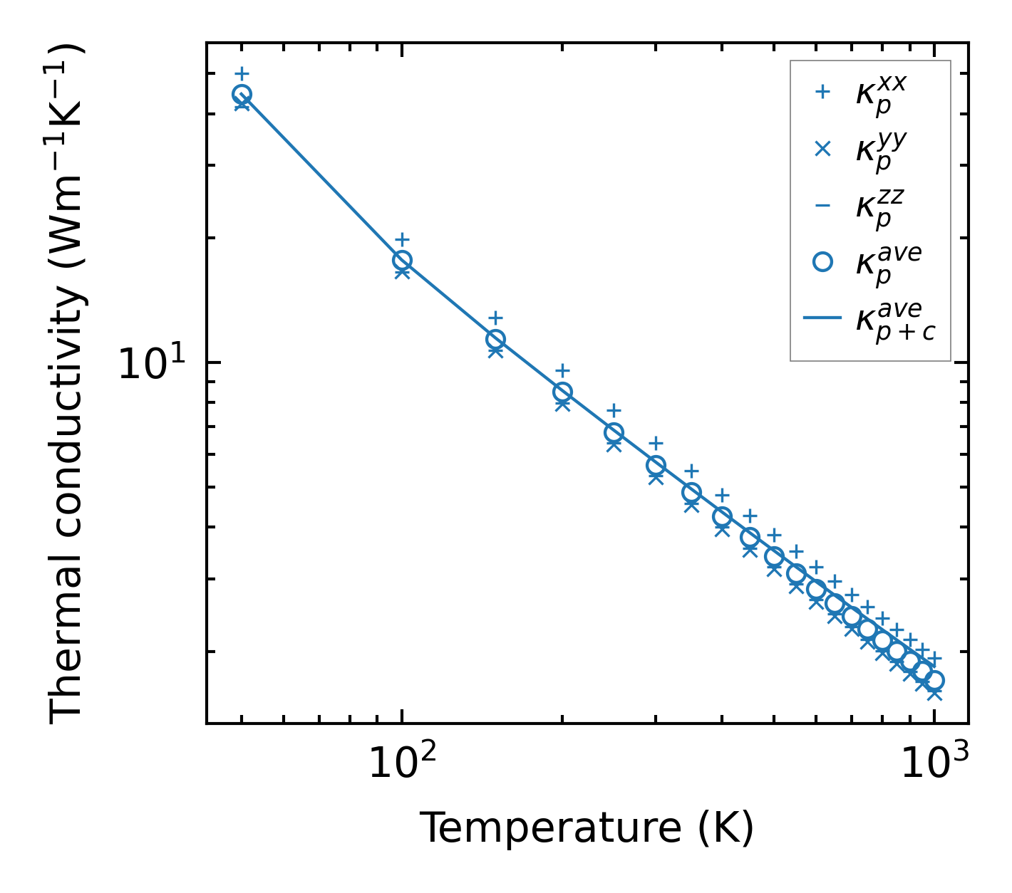
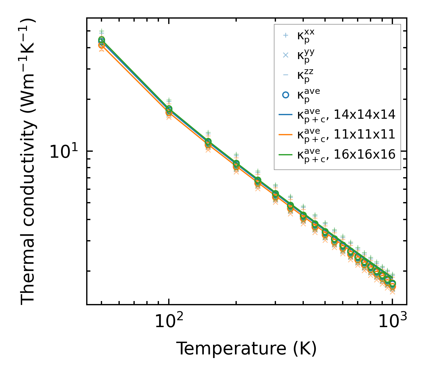
../../_images/fig_kappa14031.png

(a) Temperature-dependent lattice thermal conductivity

../../_images/fig_kappa_vs_grain_size7527.png

(b) Peierls lattice thermal conductivity w.r.t grain size

Phonon lifetime and scattering rates

../../_images/fig_lifetime7373.png

(a) Phonon lifetime due to phonon-phonon scattering

../../_images/fig_scat_rates7372.png

(b) Phonon scattering rates

Cumulative and spectral thermal conductivity

../../_images/fig_cumu_frequency7373.png

(a) Spectral and cumulative thermal conductivity w.r.t frequency

../../_images/fig_cumu_mfp7372.png

(b) Spectral and cumulative thermal conductivity w.r.t MFP

Force constants

../../_images/fig_fc216534.png

(a) Force constants w.r.t atomic distance

Summary

../../_images/fig_kappa14032.png

(a) Temperature-dependent lattice thermal conductivity

../../_images/fig_times27675.png

(b) Computation time