mp-1019896/La5S4NO2/anharm

Harmonic properties

../../_images/fig_bandos_pr69.png

(a) Phonon dispersion with participation ratio and DOS

../../_images/fig_thermo69.png

(b) Thermodynamic properties

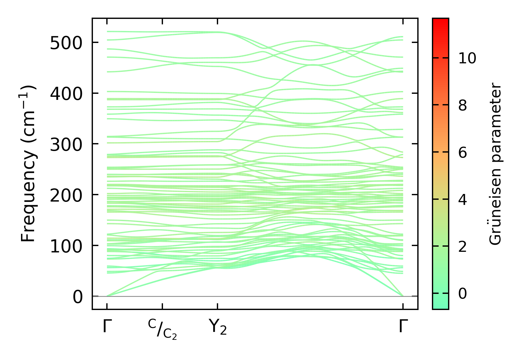
Grüneisen parameters

../../_images/fig_gru_all47.png

(a) Grüneisen parameters

../../_images/fig_gruneisen47.png

(b) Phonon dispersion with Grüneisen parameters

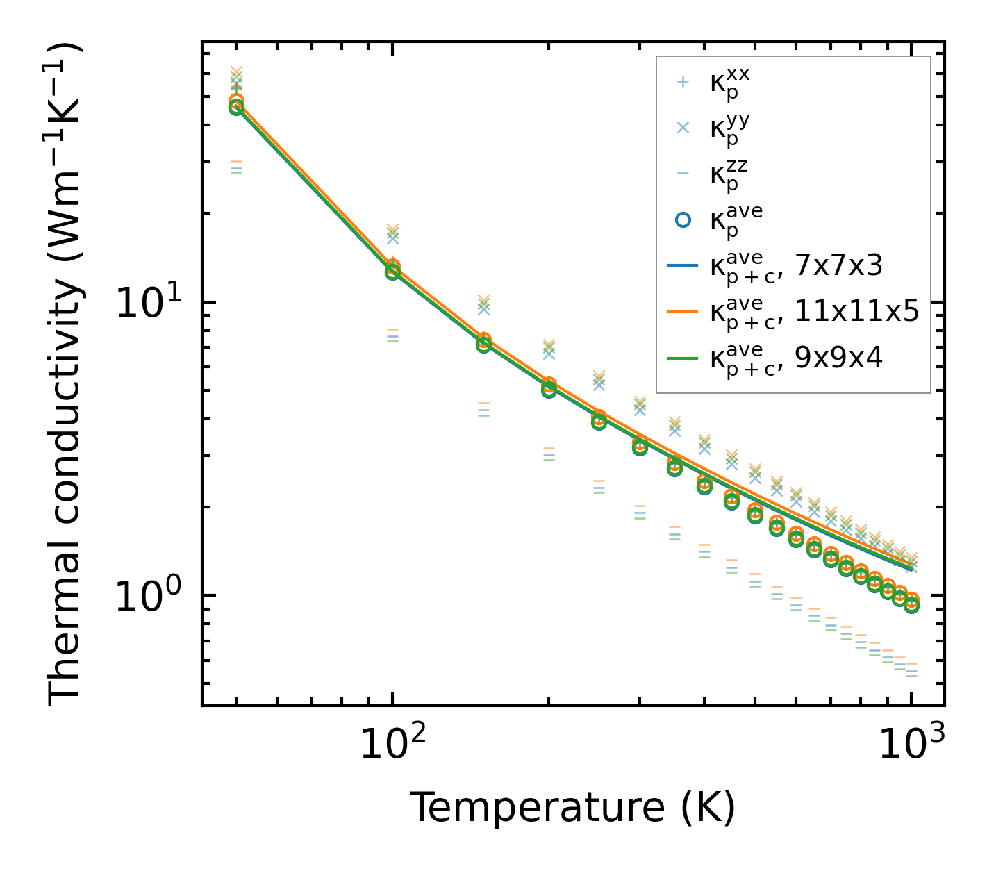
Thermal conductivity

3-phonon (LASSO) — q-mesh: 11x11x5, supercell: 1x3x1

../../_images/fig_kappa92.png

(a) Temperature-dependent lattice thermal conductivity

../../_images/fig_kappa_vs_grain_size49.png

(b) Peierls lattice thermal conductivity w.r.t grain size

Phonon lifetime and scattering rates

../../_images/fig_lifetime47.png

(a) Phonon lifetime due to phonon-phonon scattering

../../_images/fig_scat_rates47.png

(b) Phonon scattering rates

Cumulative and spectral thermal conductivity

../../_images/fig_cumu_frequency47.png

(a) Spectral and cumulative thermal conductivity w.r.t frequency

../../_images/fig_cumu_mfp47.png

(b) Spectral and cumulative thermal conductivity w.r.t MFP

Force constants

../../_images/fig_fc268.png

(a) Force constants w.r.t atomic distance

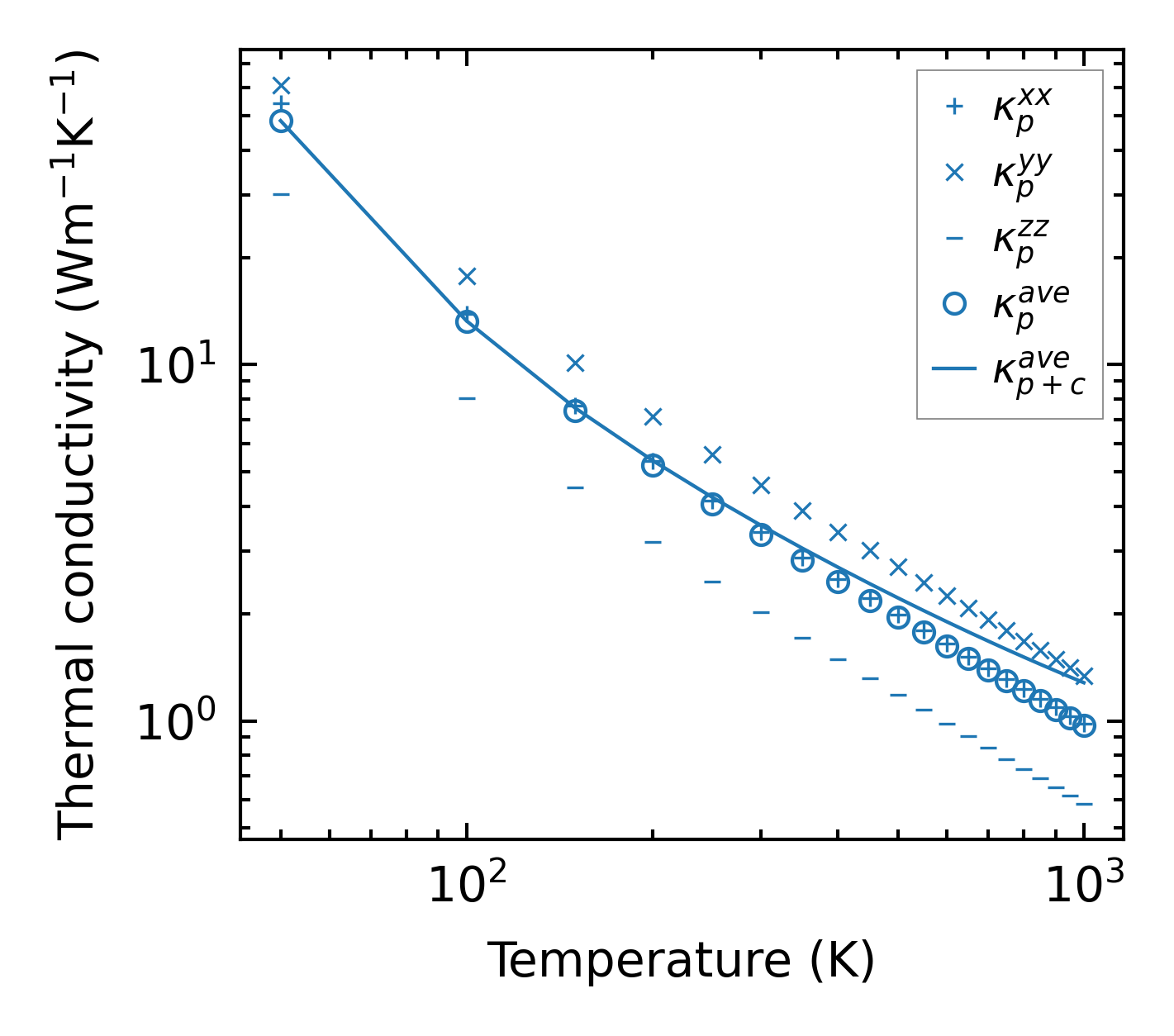
Summary

../../_images/fig_kappa93.png

(a) Temperature-dependent lattice thermal conductivity

../../_images/fig_times119.png

(b) Computation time