mp-1019380/Al3BN4/anharm

Harmonic properties

../../_images/fig_bandos_pr47.png

(a) Phonon dispersion with participation ratio and DOS

../../_images/fig_thermo47.png

(b) Thermodynamic properties

Grüneisen parameters

../../_images/fig_gru_all40.png

(a) Grüneisen parameters

../../_images/fig_gruneisen40.png

(b) Phonon dispersion with Grüneisen parameters

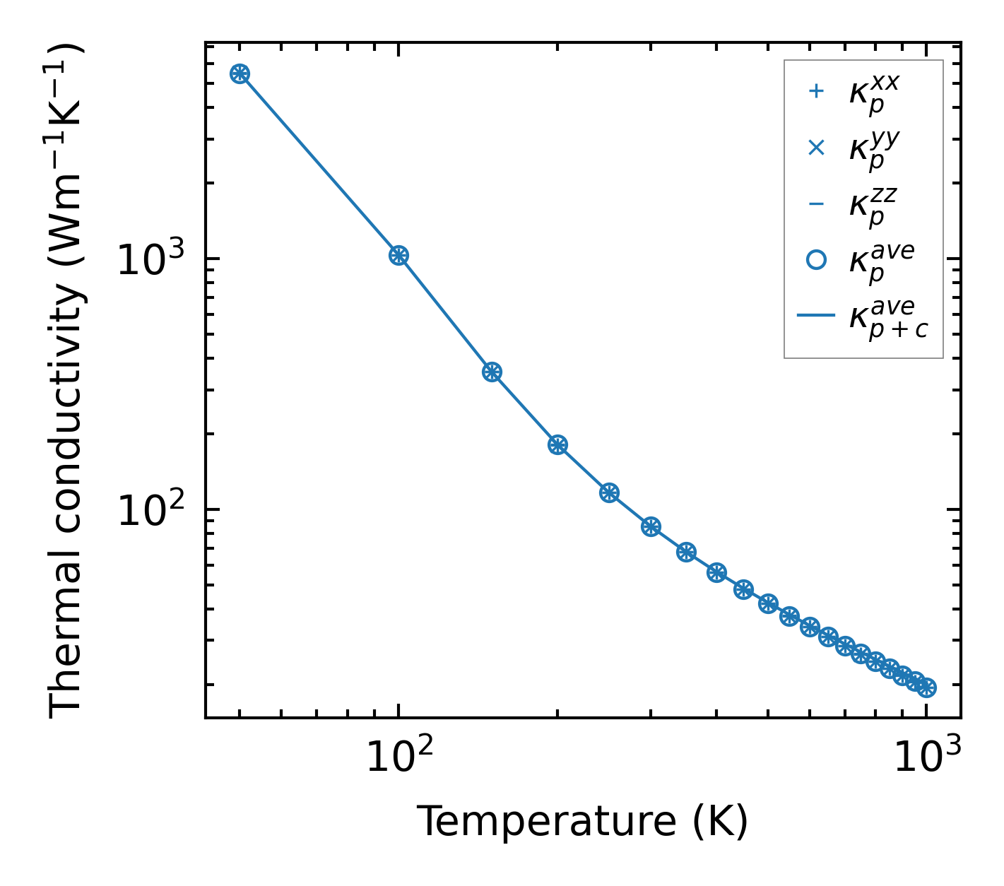
Thermal conductivity

3-phonon (LASSO) — q-mesh: 17x17x17, supercell: 2x2x2

../../_images/fig_kappa77.png

(a) Temperature-dependent lattice thermal conductivity

../../_images/fig_kappa_vs_grain_size41.png

(b) Peierls lattice thermal conductivity w.r.t grain size

Phonon lifetime and scattering rates

../../_images/fig_lifetime40.png

(a) Phonon lifetime due to phonon-phonon scattering

../../_images/fig_scat_rates40.png

(b) Phonon scattering rates

Cumulative and spectral thermal conductivity

../../_images/fig_cumu_frequency40.png

(a) Spectral and cumulative thermal conductivity w.r.t frequency

../../_images/fig_cumu_mfp40.png

(b) Spectral and cumulative thermal conductivity w.r.t MFP

Force constants

../../_images/fig_fc246.png

(a) Force constants w.r.t atomic distance

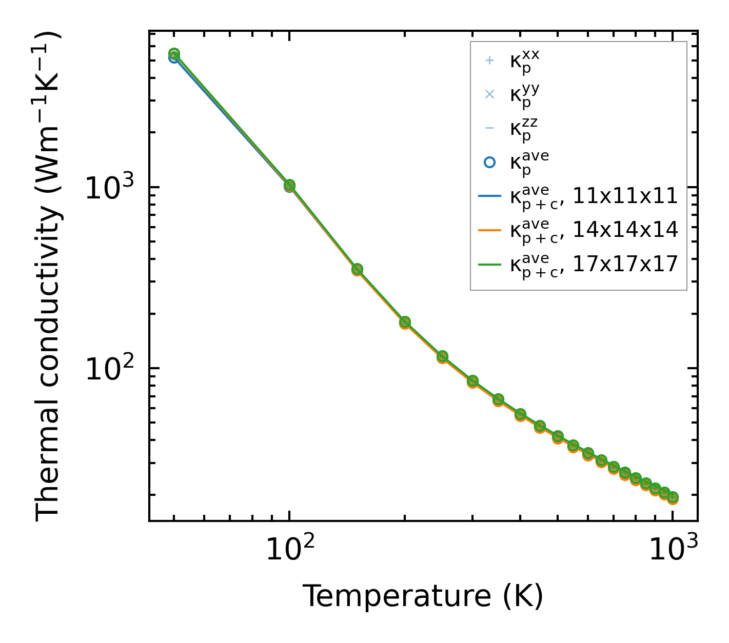
Summary

../../_images/fig_kappa78.png

(a) Temperature-dependent lattice thermal conductivity

../../_images/fig_times81.png

(b) Computation time