mp-1019086/CN2/anharm

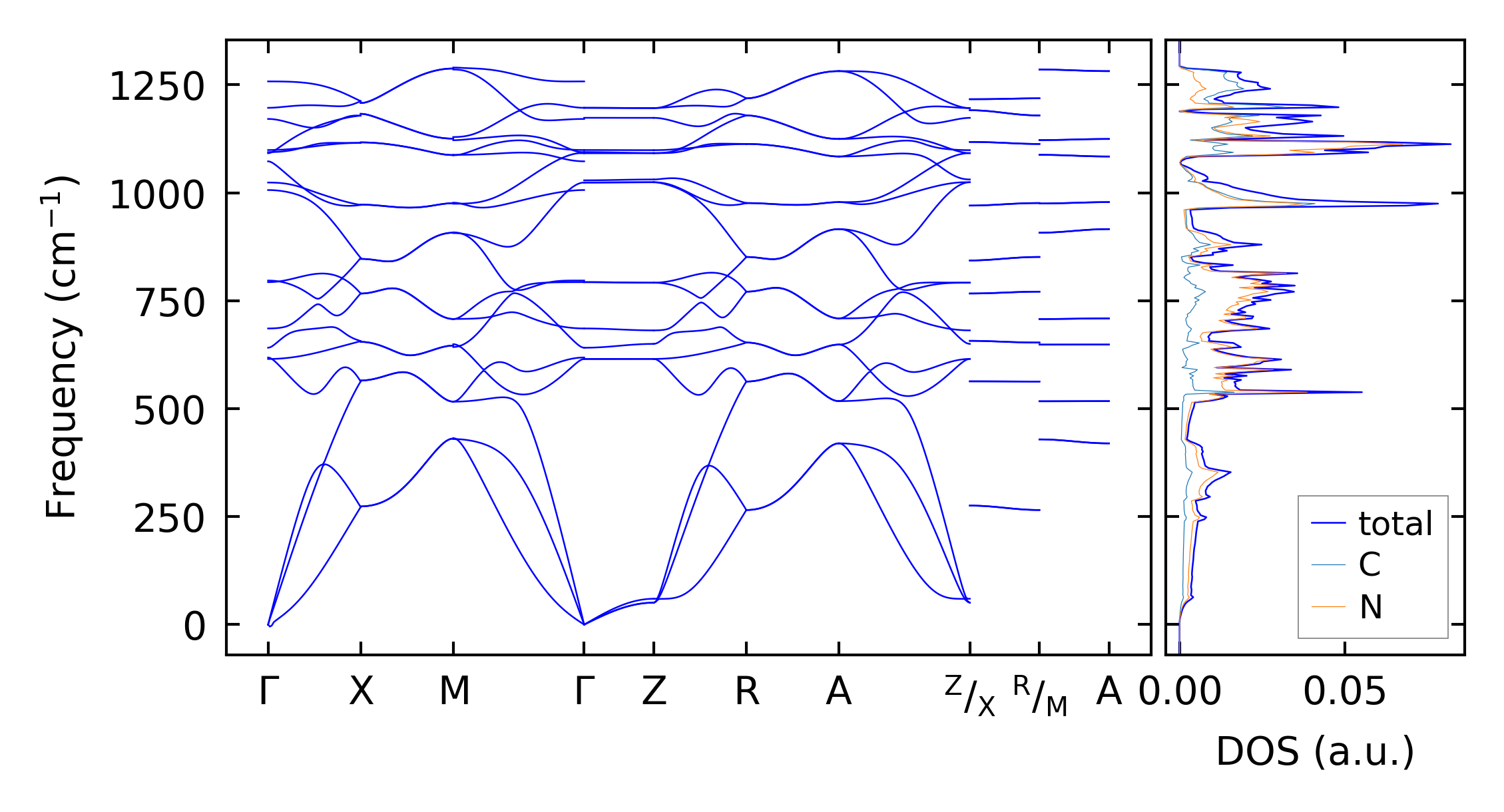
Harmonic properties

../../_images/fig_bandos_pr42.png

(a) Phonon dispersion with participation ratio and DOS

../../_images/fig_bandos44.png

(b) Phonon dispersion and DOS

../../_images/fig_thermo42.png

(c) Thermodynamic properties

Grüneisen parameters

../../_images/fig_gru_all35.png

(a) Grüneisen parameters

../../_images/fig_gruneisen35.png

(b) Phonon dispersion with Grüneisen parameters

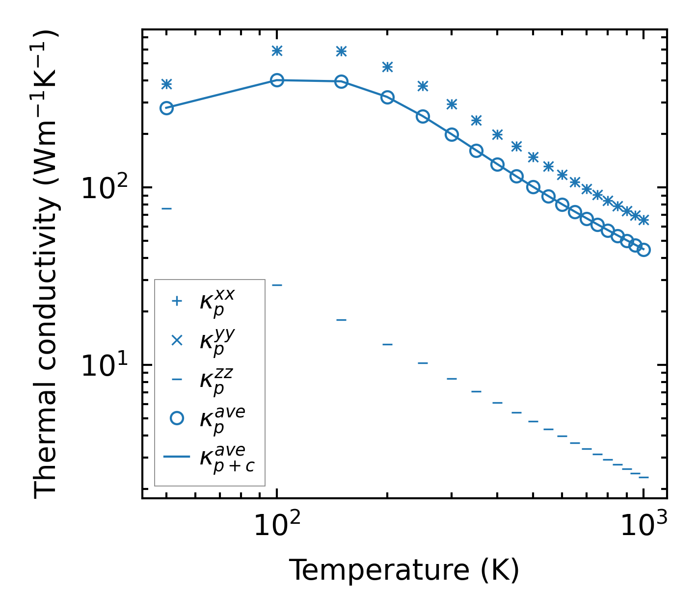
Thermal conductivity

3-phonon (LASSO) — q-mesh: 21x21x16, supercell: 3x3x2

../../_images/fig_kappa67.png

(a) Temperature-dependent lattice thermal conductivity

../../_images/fig_kappa_vs_grain_size36.png

(b) Peierls lattice thermal conductivity w.r.t grain size

Phonon lifetime and scattering rates

../../_images/fig_lifetime35.png

(a) Phonon lifetime due to phonon-phonon scattering

../../_images/fig_scat_rates35.png

(b) Phonon scattering rates

Cumulative and spectral thermal conductivity

../../_images/fig_cumu_frequency35.png

(a) Spectral and cumulative thermal conductivity w.r.t frequency

../../_images/fig_cumu_mfp35.png

(b) Spectral and cumulative thermal conductivity w.r.t MFP

Force constants

../../_images/fig_fc241.png

(a) Force constants w.r.t atomic distance

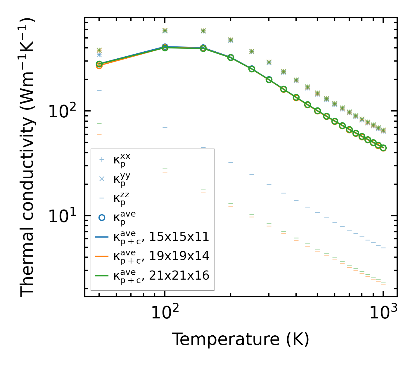
Summary

../../_images/fig_kappa68.png

(a) Temperature-dependent lattice thermal conductivity

../../_images/fig_times74.png

(b) Computation time