mp-1019520/Ba3Ca2Si2N6/anharm

Harmonic properties

../../_images/fig_bandos_pr51.png

(a) Phonon dispersion with participation ratio and DOS

../../_images/fig_thermo51.png

(b) Thermodynamic properties

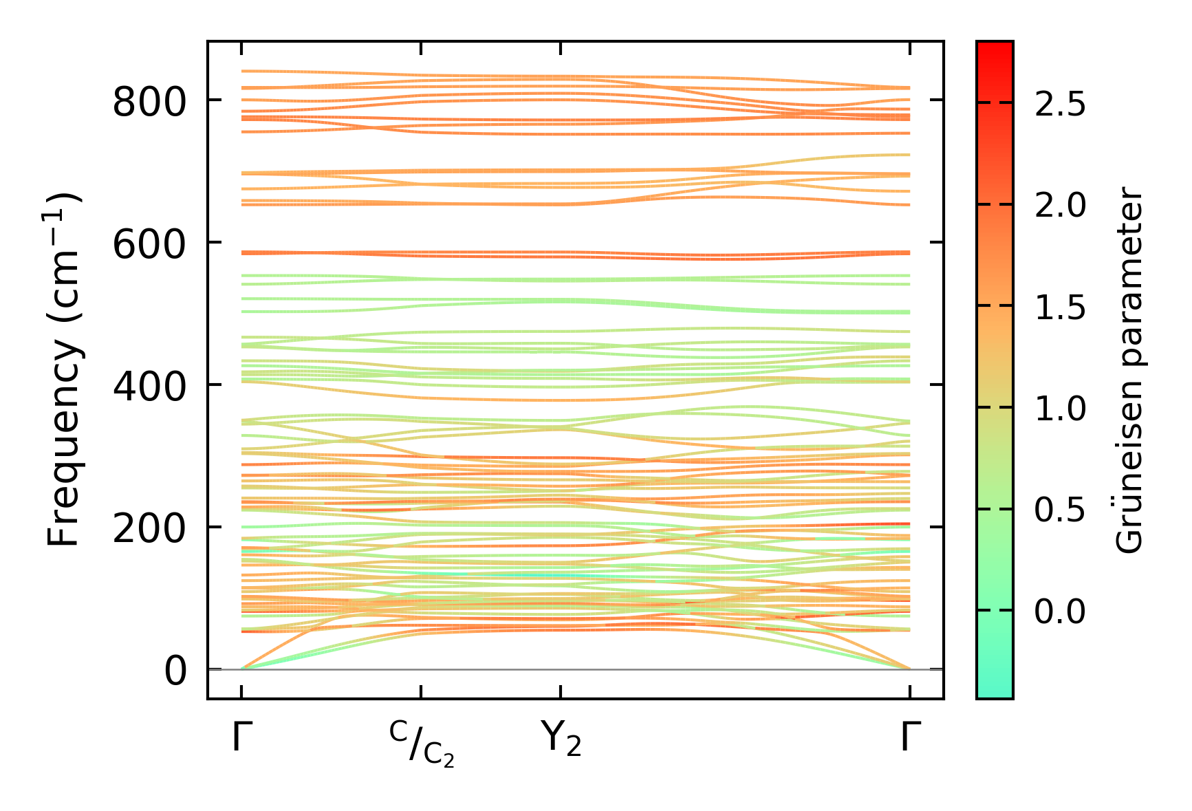
Grüneisen parameters

../../_images/fig_gru_all42.png

(a) Grüneisen parameters

../../_images/fig_gruneisen42.png

(b) Phonon dispersion with Grüneisen parameters

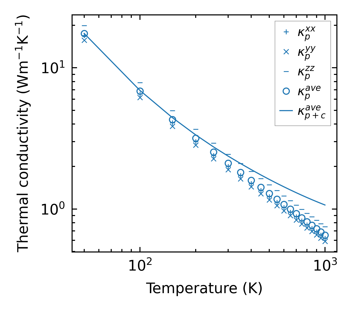
Thermal conductivity

3-phonon (LASSO) — q-mesh: 12x12x5, supercell: 1x2x1

../../_images/fig_kappa81.png

(a) Temperature-dependent lattice thermal conductivity

../../_images/fig_kappa_vs_grain_size43.png

(b) Peierls lattice thermal conductivity w.r.t grain size

Phonon lifetime and scattering rates

../../_images/fig_lifetime42.png

(a) Phonon lifetime due to phonon-phonon scattering

../../_images/fig_scat_rates42.png

(b) Phonon scattering rates

Cumulative and spectral thermal conductivity

../../_images/fig_cumu_frequency42.png

(a) Spectral and cumulative thermal conductivity w.r.t frequency

../../_images/fig_cumu_mfp42.png

(b) Spectral and cumulative thermal conductivity w.r.t MFP

Force constants

../../_images/fig_fc250.png

(a) Force constants w.r.t atomic distance

Summary

../../_images/fig_kappa82.png

(a) Temperature-dependent lattice thermal conductivity

../../_images/fig_times88.png

(b) Computation time