mp-1019322/Te2W/anharm

Harmonic properties

../../_images/fig_bandos_pr44.png

(a) Phonon dispersion with participation ratio and DOS

../../_images/fig_thermo44.png

(b) Thermodynamic properties

Grüneisen parameters

../../_images/fig_gru_all37.png

(a) Grüneisen parameters

../../_images/fig_gruneisen37.png

(b) Phonon dispersion with Grüneisen parameters

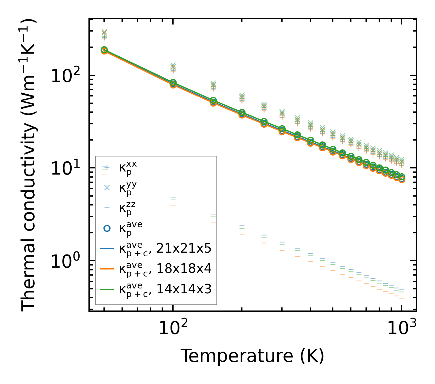
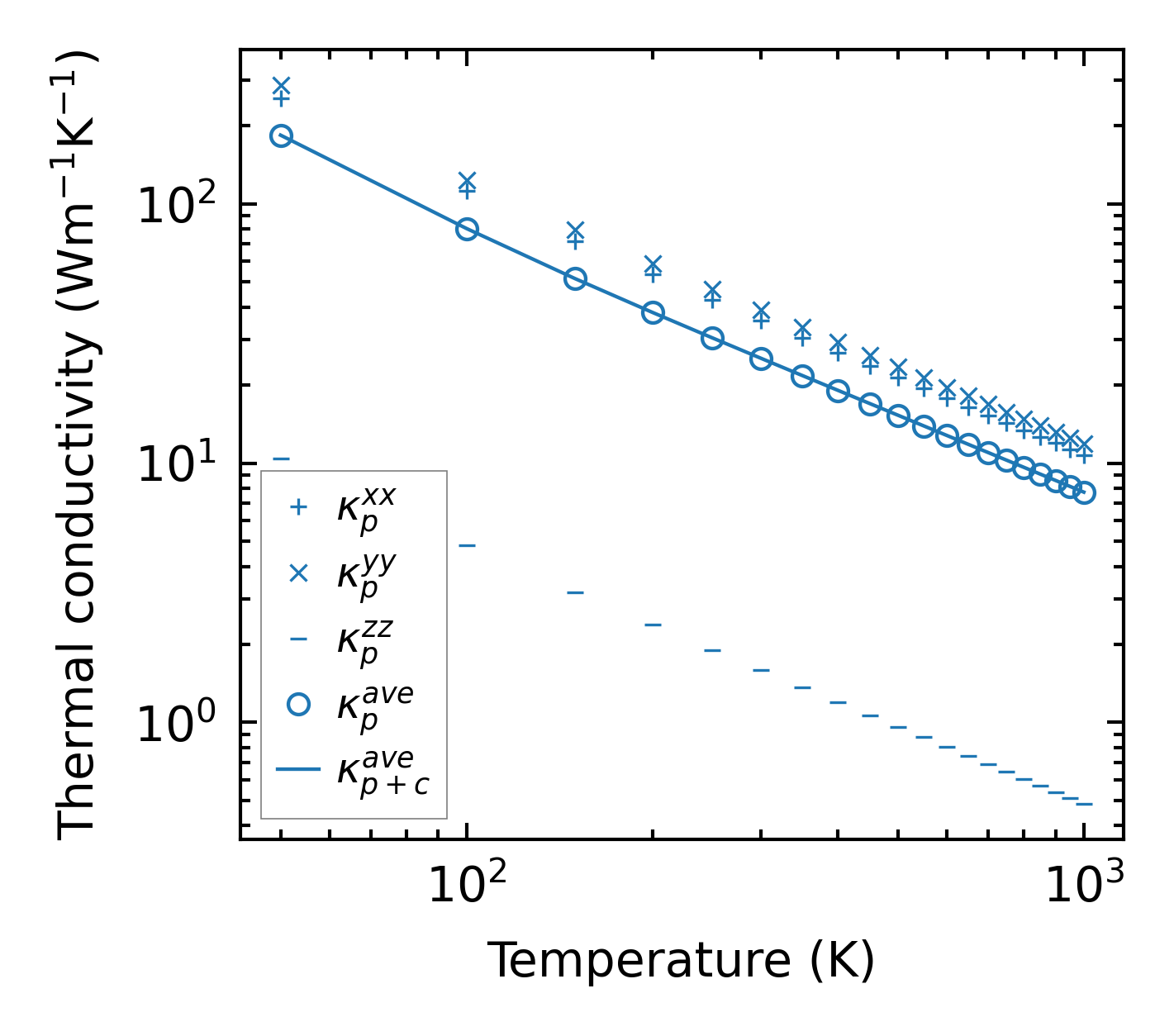
Thermal conductivity

3-phonon (LASSO) — q-mesh: 21x21x5, supercell: 4x3x1

../../_images/fig_kappa71.png

(a) Temperature-dependent lattice thermal conductivity

../../_images/fig_kappa_vs_grain_size38.png

(b) Peierls lattice thermal conductivity w.r.t grain size

Phonon lifetime and scattering rates

../../_images/fig_lifetime37.png

(a) Phonon lifetime due to phonon-phonon scattering

../../_images/fig_scat_rates37.png

(b) Phonon scattering rates

Cumulative and spectral thermal conductivity

../../_images/fig_cumu_frequency37.png

(a) Spectral and cumulative thermal conductivity w.r.t frequency

../../_images/fig_cumu_mfp37.png

(b) Spectral and cumulative thermal conductivity w.r.t MFP

Force constants

../../_images/fig_fc243.png

(a) Force constants w.r.t atomic distance

Summary

../../_images/fig_kappa72.png

(a) Temperature-dependent lattice thermal conductivity

../../_images/fig_times77.png

(b) Computation time