mp-1019524-2/Ba3P6N8O6/anharm

Equation of state

../../_images/fig_bm9.png

(a) Equation of state

Harmonic properties

../../_images/fig_bandos_pr52.png

(a) Phonon dispersion with participation ratio and DOS

../../_images/fig_bandos53.png

(b) Phonon dispersion and DOS

../../_images/fig_thermo52.png

(c) Thermodynamic properties

Grüneisen parameters

../../_images/fig_gru_all43.png

(a) Grüneisen parameters

../../_images/fig_gruneisen43.png

(b) Phonon dispersion with Grüneisen parameters

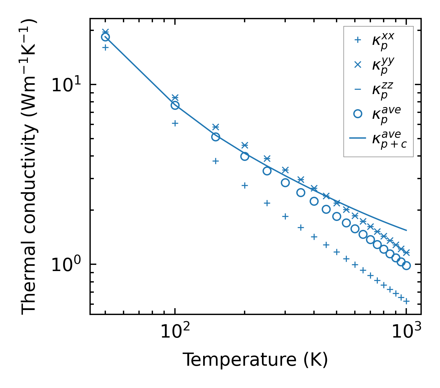
Thermal conductivity

3-phonon (LASSO) — q-mesh: 11x10x10, supercell: 2x2x1

../../_images/fig_kappa83.png

(a) Temperature-dependent lattice thermal conductivity

../../_images/fig_kappa_vs_grain_size44.png

(b) Peierls lattice thermal conductivity w.r.t grain size

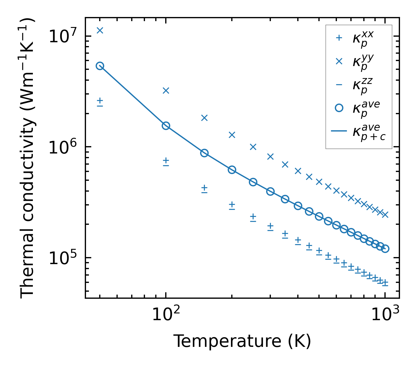
3-phonon (LASSO), supercell 2x2x2 — q-mesh: 11x10x10, supercell: 2x2x2

../../_images/fig_kappa84.png

(a) Temperature-dependent lattice thermal conductivity

../../_images/fig_kappa_vs_grain_size45.png

(b) Peierls lattice thermal conductivity w.r.t grain size

Phonon lifetime and scattering rates

../../_images/fig_lifetime43.png

(a) Phonon lifetime due to phonon-phonon scattering

../../_images/fig_scat_rates43.png

(b) Phonon scattering rates

Cumulative and spectral thermal conductivity

../../_images/fig_cumu_frequency43.png

(a) Spectral and cumulative thermal conductivity w.r.t frequency

../../_images/fig_cumu_mfp43.png

(b) Spectral and cumulative thermal conductivity w.r.t MFP

Force constants

../../_images/fig_fc251.png

(a) Force constants w.r.t atomic distance

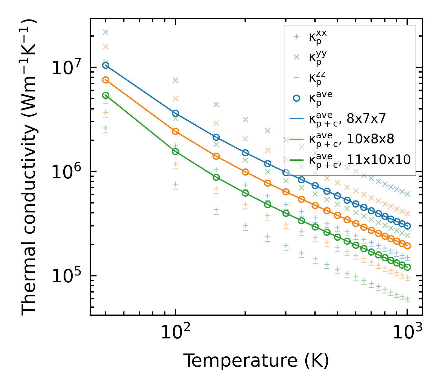
Summary

../../_images/fig_kappa85.png

(a) Temperature-dependent lattice thermal conductivity

../../_images/fig_times90.png

(b) Computation time