mp-1019269/Sr2H3I/anharm

Harmonic properties

../../_images/fig_bandos_pr43.png

(a) Phonon dispersion with participation ratio and DOS

../../_images/fig_thermo43.png

(b) Thermodynamic properties

Grüneisen parameters

../../_images/fig_gru_all36.png

(a) Grüneisen parameters

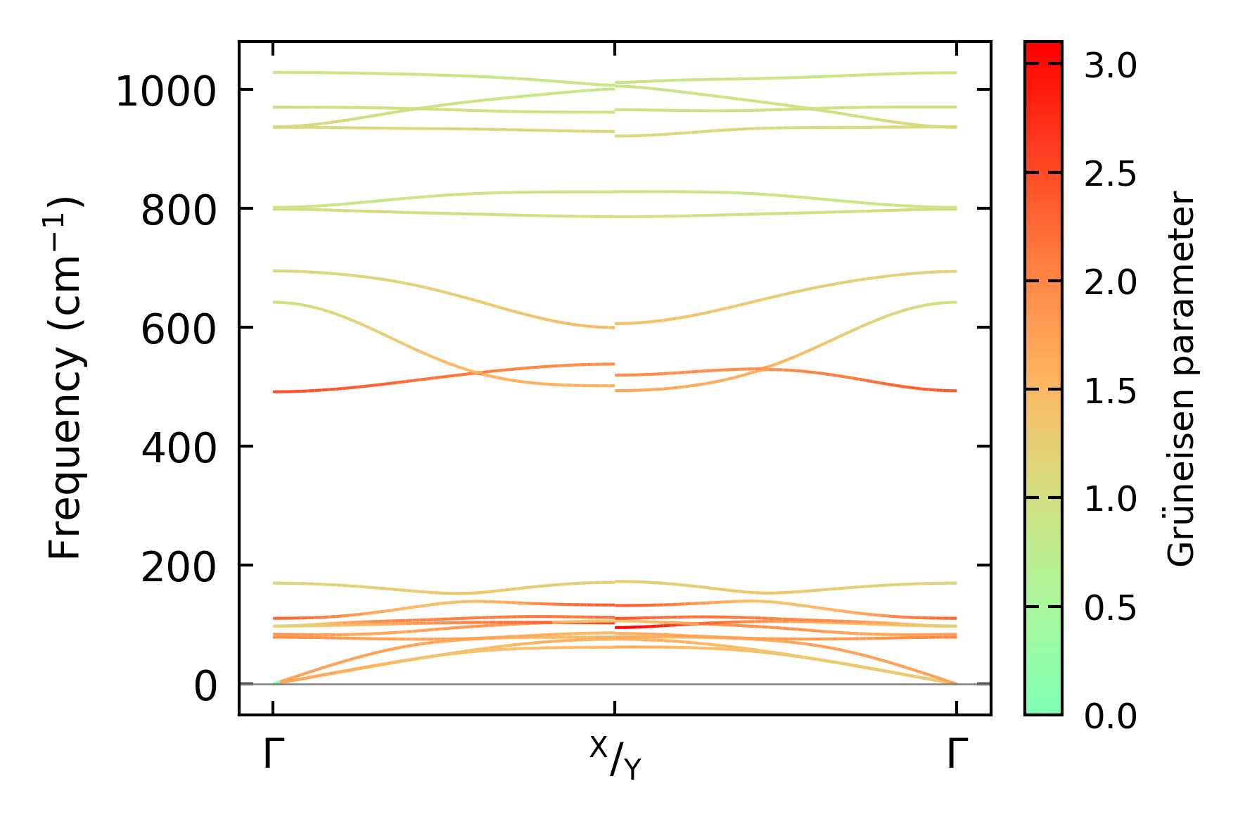
../../_images/fig_gruneisen36.png

(b) Phonon dispersion with Grüneisen parameters

Thermal conductivity

3-phonon (LASSO) — q-mesh: 18x18x10, supercell: 4x3x2

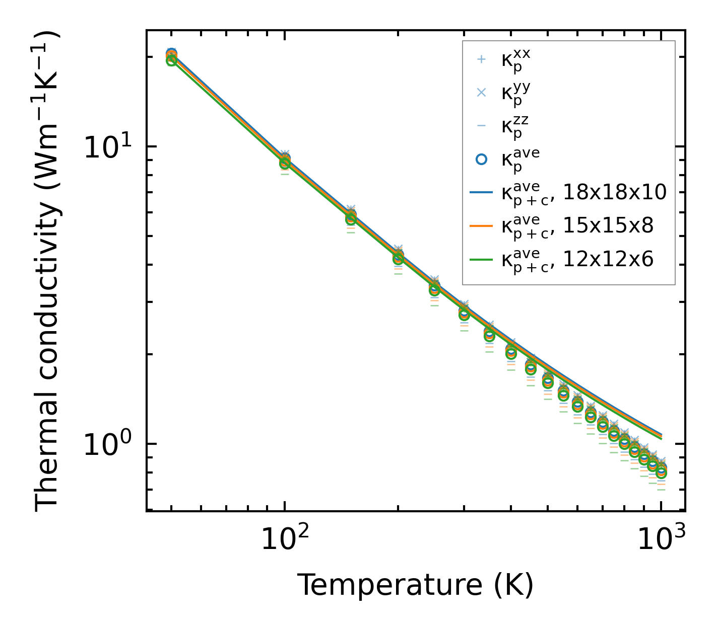
../../_images/fig_kappa69.png

(a) Temperature-dependent lattice thermal conductivity

../../_images/fig_kappa_vs_grain_size37.png

(b) Peierls lattice thermal conductivity w.r.t grain size

Phonon lifetime and scattering rates

../../_images/fig_lifetime36.png

(a) Phonon lifetime due to phonon-phonon scattering

../../_images/fig_scat_rates36.png

(b) Phonon scattering rates

Cumulative and spectral thermal conductivity

../../_images/fig_cumu_frequency36.png

(a) Spectral and cumulative thermal conductivity w.r.t frequency

../../_images/fig_cumu_mfp36.png

(b) Spectral and cumulative thermal conductivity w.r.t MFP

Force constants

../../_images/fig_fc242.png

(a) Force constants w.r.t atomic distance

Summary

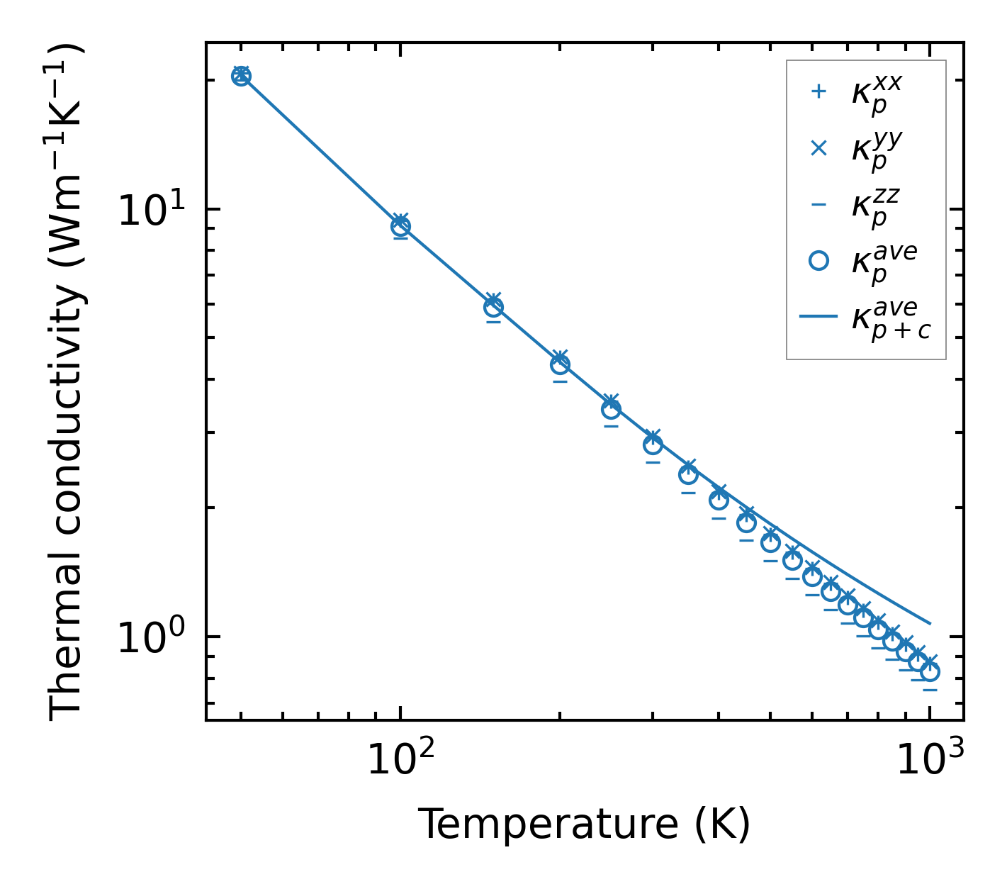
../../_images/fig_kappa70.png

(a) Temperature-dependent lattice thermal conductivity

../../_images/fig_times76.png

(b) Computation time